Тожео Солостар розчин д/ін. 300 МО/мл по 1,5 мл (картридж)
- Все про товар
- Ціни в аптеках
- Аналоги (від 1481.89 ₴)
- Відгуки
Інструкція для Тожео Солостар розчин д/ін. 300 МО/мл по 1,5 мл (картридж)
Склад:
діюча речовина: інсулін гларгін;
1 мл розчину містить інсуліну гларгіну 10,91 мг, що еквівалентно 300 Од. інсуліну гларгіну;
1 шприц-ручка містить 1,5 мл розчину для ін’єкцій, що еквівалентно 450 Од. інсуліну гларгіну;
допоміжні речовини: м-крезол, цинку хлорид, гліцерин (85 %), натрію гідроксид, кислота хлористоводнева концентрована, вода для ін’єкцій.
Лікарська форма. Розчин для ін’єкцій.
Основні фізико-хімічні властивості: безбарвний або майже безбарвний розчин.
Фармакотерапевтична група. Протидіабетичні препарати. Інсуліни та аналоги тривалої дії для ін’єкцій. Код АТХ A10A E04.
Фармакологічні властивості.
Фармакодинаміка.
Механізм дії. Діюча речовина інсуліну гларгіну є аналогом людського інсуліну тривалої дії, що виготовлений за допомогою технології рекомбінантних ДНК з використанням мікроорганізму-продуценту Escherichia coli.
Найважливішою дією інсуліну, у тому числі інсуліну гларгіну, є регуляція метаболізму глюкози. Інсулін та його аналоги знижують рівень глюкози в крові за рахунок стимуляції його споживання периферичними тканинами, зокрема скелетними м’язами та жировою тканиною, а також пригнічення утворення глюкози у печінці. Інсулін пригнічує ліполіз в адипоцитах та протеоліз, одночасно посилюючи синтез білка.
Інсулін гларгін розроблений як аналог інсуліну людини, який має низьку розчинність у нейтральному середовищі. Інсулін гларгін повністю розчинний у кислому середовищі (pH=4) розчину препарату. Після введення у підшкірні тканини кислий розчин нейтралізується, що призводить до виникнення преципітату, з якого постійно вивільняється невелика кількість інсуліну гларгіну.
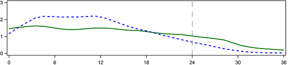
Під час досліджень методом фіксації еуглікемічного стану у пацієнтів з цукровим діабетом 1 типу було відмічено більш стабільну та пролонговану глюкозознижувальну дію після підшкірного введення препарату Тожео СолоСтар у порівнянні з інсуліном гларгіном 100 Од./мл. Результати перехресного дослідження за участю 18 пацієнтів з цукровим діабетом 1 типу, отримані протягом періоду тривалістю до 36 годин після введення препаратів, наведено на рис. 1. Дія препарату Тожео СолоСтар при застосуванні клінічно значущих доз тривала понад 24 години (до 36 годин).
|
ШІГ*, мг/(кг*хв) |
|
|
Час, який пройшов після підшкірної ін’єкції (години) |
Лікування:
––– Тожео СолоСтар (300 Од./мл) 0,4 Од./кг
- - - - Інсулін гларгін (100 Од./мл) 0,4 Од./кг
*ШІГ – швидкість інфузії глюкози: визначалася як кількість введеної глюкози для підтримки постійного рівня глюкози у плазмі крові (щогодинні середні показники). Завершення періоду спостереження відбулося на 36 годині.
Рис. 1. Профіль активності в рівноважному стані у хворих на цукровий діабет 1 типу у 36-годинному дослідженні методом фіксації еуглікемічного стану.
Більш рівномірне вивільнення інсуліну гларгіну з преципітату препарату Тожео СолоСтар у порівнянні із таким препарату інсуліну гларгіну 100 Од./мл обумовлене зменшенням об’єму ін’єкції на дві третини, що призводить до меншої площі поверхні преципітату.
Інсулін гларгін метаболізується до 2 активних метаболітів – М1 та M2 (див. розділ «Фармакокінетика»).
Зв’язування з інсуліновим рецептором. Результати досліджень in vitro свідчать про те, що афінність інсуліну гларгіну та його метаболітів М1 і M2 до інсулінового рецептора людини подібна афінності людського інсуліну до цього рецептора.
Зв’язування з рецептором ІФР-1 (інсуліноподібного фактора росту 1). Афінність інсуліну гларгіну до рецептора ІФР-1 людини приблизно у 5–8 разів вища за афінність людського інсуліну (але приблизно у 70–80 разів нижча, ніж афінність ІФР-1 до цього рецептора), тоді як метаболіти М1 і M2 зв’язуються з рецептором ІФР-1 з афінністю, дещо нижчою за афінність людського інсуліну.
Загальна терапевтична концентрація інсуліну (інсуліну гларгіну та його метаболітів), що визначалася у пацієнтів з цукровим діабетом 1 типу, була значно нижчою за ту, яка була б необхідною для напівмаксимального зв’язування з рецептором ІФР-1 та для подальшої активації мітогенно-проліферативного механізму, який запускається рецептором ІФР-1. Ендогенний рецептор ІФР-1 у фізіологічних концентраціях може активувати мітогенно-проліферативний механізм; проте терапевтичні концентрації інсуліну, які використовуються при інсулінотерапії, в тому числі при терапії препаратом Тожео СолоСтар, значно нижчі за фармакологічні концентрації, необхідні для активації ІФР-1-опосередкованого механізму.
У дослідженні клінічної фармакології було показано, що інсулін гларгін та людський інсулін при внутрішньовенному введенні є еквіпотентними при застосуванні у однакових дозах.
Як і при застосуванні будь-яких інсулінів, на динаміку дії інсуліну гларгіну можуть впливати фізична активність та інші чинники.
Клінічна ефективність та безпека. У відкритих рандомізованих випробуваннях в паралельних групах з активним контролем тривалістю до 26 тижнів порівнювали загальну ефективність та безпеку препарату Тожео СолоСтар (інсулін гларгін
300 Од./мл) при введенні 1 раз на добу щодо глікемічного контролю у порівнянні з цими показниками інсуліну гларгіну 100 Од./мл при введенні 1 раз на добу у 546 пацієнтів з цукровим діабетом 1 типу і 2474 пацієнтів з цукровим діабетом 2 типу (див. таблиці 1 і 2). Результати всіх клінічних досліджень препарату Тожео СолоСтар показали, що зниження вмісту HbA1c з початку до завершення досліджень було принаймні не гірше за зміну цього показника, отриману при застосуванні інсуліну гларгіну 100 Од./мл. Рівні зниження концентрації глюкози в кінці випробування препаратів Тожео СолоСтар і інсуліну гларгіну 100 Од./мл були подібними, більш повільним було зниження під час періоду титрування дози препарату Тожео СолоСтар.
Ефективність глікемічного контролю при застосуванні препарату Тожео СолоСтар один раз на добу вранці або ввечері була схожою. На покращення показників HbA1c не впливали стать, етнічна належність та вік пацієнта, тривалість захворювання на цукровий діабет (< 10 і ≥ 10 років), концентрація HbA1c до лікування (< 8 або ≥ 8 %) чи початковий індекс маси тіла (ІМТ) хворого.
У кінці цих досліджень, в яких дози препаратів титрували до досягнення цільових рівнів глікемії, в групі препарату Тожео СолоСтар вводилися дози, на 10–18 % (залежно від підгрупи пацієнтів та супутньої терапії) вищі за дози, які вводилися в групі препарату порівняння (див. таблиці 1 і 2).
Для хворих на цукровий діабет 2 типу, які отримували досліджувані препарати у комбінації або з неінсуліновим протидіабетичним препаратом, або з прандіальним інсуліном, результати клінічних випробувань показали, що частота виникнення підтверджених випадків гіпоглікемії (у будь-який час доби та нічних) була нижчою у пацієнтів, які отримували препарат Тожео СолоСтар, у порівнянні з пацієнтами, які отримували інсулін гларгін 100 Од./мл. Перевага препарату Тожео СолоСтар над інсуліном гларгіном 100 Од./мл щодо зниження ризику виникнення підтвердженої нічної гіпоглікемії показана у пацієнтів з цукровим діабетом 2 типу, яких лікували базальним інсуліном у комбінації з неінсуліновими протидіабетичними лікарськими засобами (зниження ризику на 18 %) або прандіальним інсуліном (зниження ризику на 21 %) протягом періоду лікування з 9-го тижня до завершення дослідження. Загалом ці ефекти зниження ризику гіпоглікемії стабільно спостерігалися незалежно від віку, статі, ІМТ, тривалості захворювання на цукровий діабет (< 10 і ≥ 10 років) у пацієнтів, які лікувалися препаратом Тожео СолоСтар, у порівнянні з пацієнтами, які отримували інсулін гларгін 100 Од./мл.
У хворих на цукровий діабет 1 типу частота виникнення гіпоглікемії була подібною при застосуванні препаратів Тожео СолоСтар і інсулін гларгін 100 Од./мл (див. таблицю 3).
Таблиця 1
Результати клінічних досліджень за участю пацієнтів з цукровим діабетом 1 типу
|
26 тижнів лікування |
||
|
Тожео СолоСтар |
ІГлар |
|
|
Лікування у комбінації з |
аналогом прандіального інсуліну |
|
|
Кількість пацієнтів, які отримали лікування (mITTa) |
273 |
273 |
|
Рівень HbA1c |
||
|
Середній вихідний рівень |
8,13 |
8,12 |
|
Середня зміна від вихідного рівня з поправками |
-0,40 |
-0,44 |
|
Середня різниця з поправкамиb |
0,04 [від -0,098 до 0,185] |
|
|
Доза базального інсулінуc (Од/кг) |
||
|
Середній вихідний рівень |
0,32 |
0,32 |
|
Середня зміна від вихідного рівня |
0,15 |
0,09 |
|
Маса тілаd (кг) |
||
|
Середній вихідний рівень |
81,89 |
81,80 |
|
Середня зміна від вихідного рівня |
0,46 |
1,02 |
ІГлар — інсулін гларгін 100 одиниць/мл.
amITT — модифікована популяція усіх рандомізованих пацієнтів (intention-to-treat) .
bРізниця між групами лікування визначалася шляхом віднімання значень, отриманих в групі прийому препарату Тожео СолоСтар, від значень, отриманих в групі прийому інсуліну гларгіну 100 одиниць/мл; [95% довірчий інтервал] .
cЗміна з вихідного рівня до Місяця 6 (оцінка спостережуваних випадків).
dЗміна з вихідного рівня до останнього значення, отриманого протягом основного 6-місячного періоду лікування.
Таблиця 2
Результати клінічних досліджень за участю пацієнтів з цукровим діабетом 2 типу
|
26 тижнів лікування |
|||||||
|
Пацієнти, які раніше отримували базальний інсулін |
Пацієнти, які раніше отримували базальний інсулін |
Пацієнти, які раніше не отримували інсулін |
|||||
|
Лікування у комбінації з |
аналогом прандіального інсуліну ± метформін |
неінсуліновими протидіабетичними препаратами |
|||||
|
Тожео СолоСтар |
ІГлар |
Тожео СолоСтар |
ІГлар |
Тожео СолоСтар |
ІГлар |
||
|
Кількість пацієнтів, які отримали лікуванняa |
404 |
400 |
403 |
405 |
432 |
430 |
|
|
Рівень HbA1c |
|||||||
|
Середній вихідний рівень Середня зміна від вихідного рівня з поправками |
8,13 -0,90 |
8,14 -0,87 |
8,27 -0,73 |
8,22 -0,70 |
8,49 -1,42 |
8,58 -1,46 |
|
|
Середня різниця з поправкамиb |
-0,03 [від -0,144 до 0,083] |
-0,03 [від -0,168 до 0,099] |
0,04 [від -0,090 до 0,174] |
||||
|
Доза базального інсулінуc (Од/кг) |
|||||||
|
Середній вихідний рівень |
0,67 |
0,67 |
0,64 |
0,66 |
0,19 |
0,19 |
|
|
Середня зміна від вихідного рівня |
0,31 |
0,22 |
0,30 |
0,19 |
0,43 |
0,34 |
|
|
Маса тілаd (кг) |
|||||||
|
Середній вихідний рівень |
106,11 |
106,50 |
98,73 |
98,17 |
95,14 |
95,65 |
|
|
Середня зміна від вихідного рівня |
0,93 |
0,90 |
0,08 |
0,66 |
0,50 |
0,71 |
|
ІГлар — інсулін гларгін 100 одиниць/мл.
amITT — модифікована популяція усіх рандомізованих пацієнтів (intention-to-treat).
bРізниця між групами лікування визначалася шляхом віднімання значень, отриманих в групі прийому препарату Тожео СолоСтар, від значень, отриманих в групі прийому інсуліну гларгіну 100 одиниць/мл; [95% довірчий інтервал].
cЗміна з вихідного рівня до місяця 6 (оцінка спостережуваних випадків).
dЗміна з вихідного рівня до останнього значення, отриманого протягом основного 6-місячного періоду лікування.
Таблиця 3
Зведені дані про частоту епізодів гіпоглікемії у клінічному дослідженні за участю пацієнтів з цукровим діабетом 1 і 2 типу
|
Популяція пацієнтів з цукровим діабетом |
Цукровий діабет 1 типу Пацієнти, які раніше отримували базальний інсулін |
Цукровий діабет 2 типу Пацієнти, які раніше отримували базальний інсулін |
Цукровий діабет 2 типу Пацієнти, які раніше не отримували інсулін або отримували базальний інсулін |
|||
|
Лікування у комбінації з |
аналогом прандіального інсуліну |
аналогом прандіального інсуліну ± метформін |
неінсуліновими протидіабетичними препаратами |
|||
|
Тожео СолоСтар |
ІГлар |
Тожео СолоСтар |
ІГлар |
Тожео СолоСтар |
ІГлар |
|
|
Частота (%) епізодів тяжкоїa гіпоглікемії (n/загальна N) |
||||||
|
Весь період дослідженняd |
6,6 |
9,5 |
5,0 |
5,7 |
1,0 |
1,2 |
|
(18/274) |
(26/275) |
(20/404) |
(23/402) |
(8/838) |
(10/844) |
|
|
ВР* 0,69 [0,39;1,23] |
ВР 0,87 [0,48;1,55] |
ВР 0,82 [0,33;2,00] |
||||
|
Частота (%) епізодів підтвердженоїb гіпоглікемії (n/загальна N) |
||||||
|
93,1 |
93,5 |
81,9 |
87,8 |
57,6 |
64,5 |
|
|
Весь період дослідження |
(255/274) |
(257/275) |
(331/404) |
(353/402) |
(483/838) |
(544/844) |
|
ВР 1,00 [0,95;1,04] |
ВР 0,93 [0,88; 0,99] |
ВР 0,89 [0,83; 0,96] |
||||
|
Частота (%) епізодів підтвердженої нічноїc гіпоглікемії (n/загальна N) |
||||||
|
З тижня 9 до кінця дослідження |
59,3 (162/273) |
56,0 (153/273) |
36,1 (146/404) |
46,0 (184/400) |
18,4 (154/835) |
22,5 (188/835) |
|
ВР 1,06 [0,92;1,23] |
ВР 0,79 [0,67;0,93] |
ВР 0,82 [0,68;0,99] |
||||
ІГлар — інсулін гларгін 100 одиниць/мл.
aТяжка гіпоглікемія — епізод, що потребує допомоги іншої особи для активного введення вуглеводів, глюкагону або інших реанімаційних заходів.
bПідтверджена гіпоглікемія — будь-який епізод тяжкої гіпоглікемії та/або гіпоглікемії, підтвердженої визначенням рівня глюкози в плазмі крові ≤ 3,9 ммоль/л.
cНічна гіпоглікемія — епізод, що виникає у проміжку з 00:00 до 05:59 годин.
d6-місячний період лікування.
*ВР — розрахункове відношення ризиків; [95% довірчий інтервал] .
Гнучкість часу введення препарату. Було проведено два рандомізовані відкриті клінічні випробування тривалістю 3 місяці за участю пацієнтів з цукровим діабетом 2 типу (n=194), які отримували препарат ввечері 1 раз на добу або у один і той же час вдень (фіксований час введення) чи в межах 3 годин до або після звичайного часу застосування (гнучкий час введення). Застосування препарату з використанням гнучкого часу введення не впливало на контроль глікемії і на частоту розвитку гіпоглікемій.
Антитіла. Результати досліджень, в яких порівнювали препарати Тожео СолоСтар та інсулін гларгін 100 Од./мл, не вказують на жодні відмінності між цими препаратами за частотою утворення антитіл до інсуліну з огляду на ефективність, безпечність або дозу базального інсуліну.
Маса тіла. У пацієнтів, які отримували препарат Тожео СолоСтар, середня зміна маси тіла на кінець 6-місячного періоду лікування становила менш ніж 1 кг.
Результати дослідження впливу лікування на прогресування діабетичної ретинопатії. Вплив інсуліну гларгіну 100 Од./мл (вводився один раз на добу) на перебіг діабетичної ретинопатії оцінювався під час відкритого 5-річного дослідження за участю 1024 пацієнтів з цукровим діабетом 2 типу, в якому як препарат контролю використовувався НПХ-інсулін (вводився два рази на добу) та у рамках якого за допомогою фотографування очного дна оцінювалося прогресування ретинопатії на 3 та більше пункти за шкалою ETDRS (Early Treatment Diabetic Retinopathy Study, дослідження раннього лікування діабетичної ретинопатії). За результатами порівняння інсуліну гларгіну 100 Од./мл з НПХ-інсуліном не було виявлено статистично значущих відмінностей між цими препаратами щодо впливу на прогресування діабетичної ретинопатії.
Дослідження показників довгострокової ефективності і безпечності. Дослідження ORIGIN (Outcome Reduction with Initial Glargine INtervention, «Зниження ризику несприятливих клінічних наслідків при первинному призначенні гларгіну») було багатоцентровим рандомізованим дослідженням з факторіальним дизайном 2 × 2, що проводилося за участю 12 537 пацієнтів з високим серцево-судинним (СС) ризиком, у яких спостерігалася порушена глікемія натще (ПГН) або порушена толерантність до глюкози (ПТГ) (12 % учасників) чи цукровий діабет 2 типу, з приводу якого вони отримували ≤ 1 пероральний протидіабетичний препарат (88 % учасників). Учасники дослідження були рандомізовані (1:1) для отримання або інсуліну гларгіну 100 Од./мл (n = 6264), доза якого титрувалася до досягнення рівня ГПН ≤ 95 мг/дл (5,3 мМ), або стандартної терапії (n = 6273).
Першим показником у складі комбінованої первинної кінцевої точки був час до першого настання СС смерті, нефатального інфаркту міокарда (ІМ) або нефатального інсульту, а другим показником у складі комбінованої первинної кінцевої точки був час до першого настання будь-якої з цих подій першого показника комбінованої первинної кінцевої точки або проведення процедури реваскуляризації (коронарних, сонних або периферичних судин), або госпіталізації з приводу серцевої недостатності. До вторинних кінцевих точок належали смертність з усіх причин і комбінована кінцева точка мікроваскулярних подій.
Інсулін гларгін 100 Од./мл не змінював відносний ризик СС захворювань і смерті з СС причин у порівнянні зі стандартною терапією. Не було відмічено різниці між інсуліном гларгіном і стандартною терапією за обома показниками у складі комбінованої первинної кінцевої точки; за жодною складовою кінцевої точки, що включає ці несприятливі клінічні наслідки; за смертністю з усіх причин або за комбінованою кінцевою точкою мікроваскулярних подій.
Середня доза інсуліну гларгіну 100 Од./мл у кінці дослідження становила 0,42 Од./кг. На початку дослідження медіана рівнів HbA1c у учасників становила 6,4 %, а у ході досліджуваного лікування медіана рівнів HbA1c варіювала від 5,9 до 6,4 % в групі застосування інсуліну гларгіну 100 Од./мл і від 6,2 до 6,6 % в групі застосування стандартної терапії протягом усього періоду спостереження.
Частота епізодів тяжкої гіпоглікемії (представлена у вигляді кількості учасників дослідження, у яких спостерігалися такі епізоди, на 100 пацієнто-років лікування) становила 1,05 в групі застосування інсуліну гларгіну 100 Од./мл і 0,30 в групі застосування стандартної терапії, а частота епізодів підтвердженої нетяжкої гіпоглікемії становила 7,71 в групі застосування інсуліну гларгіну 100 Од./мл і 2,44 в групі застосування стандартної терапії. Протягом цього 6-річного дослідження у 42 % пацієнтів в групі застосування інсуліну гларгіну 100 Од./мл взагалі не спостерігалося епізодів гіпоглікемії.
На останньому візиті, виконаному на фоні досліджуваного лікування, спостерігалося підвищення маси тіла від вихідного рівня в групі застосування інсуліну гларгіну
100 Од./мл в середньому на 1,4 кг і її зниження в середньому на 0,8 кг в групі застосування стандартної терапії.
Діти.
Ефективність і безпечність препарату Тожео СолоСтар вивчалися в рамках відкритого, рандомізованого (1:1), контрольованого клінічного дослідження за участю дітей та підлітків із цукровим діабетом 1 типу протягом 26 тижнів (n = 463). У групі застосування препарату Тожео СолоСтар було 73 дітей віком < 12 років та 160 дітей віком ≥ 12 років. Препарат Тожео СолоСтар, який приймали один раз на добу, продемонстрував аналогічне зниження рівня HbA1c та ГПН з початку дослідження до 26 тижня порівняно з інсуліном гларгіном 100 Од./мл.
Аналіз залежності доза−ефект показав, що після початкової фази титрування скориговані відносно маси тіла дози у дітей вищі, ніж у дорослих пацієнтів у рівноважному стані.
Загалом частота виникнення гіпоглікемії в пацієнтів із будь-якої категорії була схожою в обох групах лікування: 97,9 % пацієнтів групи препарату Тожео СолоСтар та 98,2 % пацієнтів групи інсуліну гларгіну 100 Од./мл повідомили щонайменше про один випадок гіпоглікемії. Аналогічним чином нічна гіпоглікемія порівнювалася в групах лікування препаратом Тожео СолоСтар та інсуліном гларгіном 100 Од./мл. Відсоток пацієнтів, які повідомляли про тяжку гіпоглікемію, був нижчим у групі застосування препарату Тожео СолоСтар порівняно з таким у групі інсуліну гларгіну 100 Од./мл: 6 % та 8,8 % відповідно. Відсоток пацієнтів з епізодами гіперглікемії з кетозом був нижчим у групі застосування препарату Тожео СолоСтар порівняно з таким у групі інсуліну гларгіну 100 Од./мл: 6,4 % та 11,8 % відповідно. При застосуванні препарату Тожео СолоСтар жодних проблем щодо безпеки, пов’язаних із побічними явищами та стандартними параметрами безпеки, виявлено не було. Антитіла утворювалися рідко, й це явище не мало клінічного впливу. Дані щодо ефективності й безпечності застосування препарату дітям, хворим на цукровий діабет 2 типу, були екстрапольовані з даних застосування препарату підліткам та дорослим пацієнтам із цукровим діабетом 1 типу та дорослим пацієнтам із цукровим діабетом 2 типу. Результати дослідження обґрунтовують застосування препарату Тожео СолоСтар дітям, хворим на цукровий діабет 2 типу.
Фармакокінетика.
Абсорбція та розподіл. Порівняння концентрації інсуліну в сироватці крові у здорових добровольців та у хворих на цукровий діабет вказало на більш повільну та тривалішу абсорбцію, що призвело до отримання більш плаского профілю «концентрація/час» після підшкірної ін’єкції препарату Тожео СолоСтар порівняно з інсуліном гларгіном 100 Од./мл. Фармакокінетичні профілі препарату Тожео СолоСтар відповідали його фармакодинамічній активності.
Рівноважна концентрація в інтервалі терапевтичної дії досягається через 3–4 дні щоденного введення препарату Тожео СолоСтар.
Після підшкірної ін’єкції препарату Тожео СолоСтар індивідуальна варіабельність, що визначалася як коефіцієнт варіації для експозиції інсуліну за 24 години, була низькою у рівноважному стані (17,4 %).
Біотрансформація. Після підшкірної ін’єкції інсуліну гларгіну у людини він швидко метаболізується на карбоксильному кінці бета-ланцюга з утворенням двох активних метаболітів – М1 (21А-Глі-інсулін) і M2 (21А-Глі-дез-30В-Тре-інсулін). У плазмі крові головною циркулюючою сполукою є метаболіт М1. Експозиція М1 зростає пропорційно введеній дозі інсуліну гларгіну. Фармакокінетичні та фармакодинамічні дані свідчать про те, що ефект підшкірної ін’єкції інсуліну гларгіну пов’язаний переважно із експозицією М1. Інсулін гларгін та метаболіт M2 у переважної більшості учасників досліджень не виявлялися, а коли їхній вміст можна було визначити, то їхні концентрації не залежали від введеної дози і складу препарату інсуліну гларгіну.
Виведення. Після внутрішньовенного введення препаратів інсуліну гларгіну та інсуліну людини їхні періоди напіввиведення були порівнянними. Після підшкірної ін’єкції препарату Тожео СолоСтар час напіввиведення визначається швидкістю абсорбції з підшкірної клітковини. Час напіввиведення препарату Тожео СолоСтар після підшкірної ін’єкції становить 18–19 годин і не залежить від дози препарату.
Діти.
Було проведено популяційний фармакокінетичний аналіз препарату Тожео СолоСтар на основі показників концентрації його основного метаболіту M1 із використанням даних, отриманих від 75 дітей (віком від 6 до < 18 років), хворих на цукровий діабет 1 типу. Вплив маси тіла пацієнта на кліренс препарату Тожео СолоСтар є нелінійним. Як наслідок, вплив (ППК – площа під кривою концентраціїї препарату) у дітей дещо нижчий порівняно з таким у дорослих при отриманні тієї ж дози, скоригованої за масою тіла.
Клінічні характеристики.
Показання.
Лікування цукрового діабету у дорослих, підлітків та дітей віком від 6 років.
Протипоказання.
Підвищена чутливість до діючої речовини або до будь-якої допоміжної речовини, що входить до складу препарату.
Взаємодія з іншими лікарськими засобами та інші види взаємодій.
Існує ряд речовин, які впливають на метаболізм глюкози, а отже, їх застосування може вимагати корекції дози інсуліну гларгіну.
До речовин, які можуть посилювати глюкозознижувальну дію інсуліну та збільшувати схильність до виникнення гіпоглікемії, належать протидіабетичні лікарські засоби, інгібітори ангіотензинперетворювального ферменту (АПФ), дизопірамід, фібрати, флуоксетин, інгібітори моноаміноксидази (МАО), пентоксифілін, пропоксифен, саліцилати та сульфаніламідні протимікробні засоби.
До речовин, які можуть послаблювати глюкозознижувальну дію інсуліну, належать кортикостероїди, даназол, діазоксид, сечогінні засоби, глюкагон, ізоніазид, естрогени та прогестагени, похідні фенотіазину, соматропін, препарати-симпатоміметики (епінефрин (адреналін), сальбутамол, тербуталін), гормони щитовидної залози, атипові антипсихотичні лікарські засоби (наприклад клозапін та оланзапін) та інгібітори протеаз.
Бета-блокатори, клонідин, солі літію або алкоголь можуть як посилювати, так і послаблювати глюкозознижувальну дію інсуліну. Пентамідин може викликати гіпоглікемію, після якої іноді настає гіперглікемія.
Крім того, під впливом симпатолітичних засобів, таких як бета-блокатори, клонідин, гуанетидин та резерпін, ознаки адренергічної контррегуляції можуть слабшати або зовсім зникати.
Особливості застосування.
Препарат Тожео СолоСтар не є препаратом вибору для лікування діабетичного кетоацидозу. Замість нього у таких випадках рекомендується внутрішньовенне введення простого інсуліну.
Якщо у результаті лікування не вдається досягти достатнього контролю рівня глюкози або спостерігається тенденція до виникнення епізодів гіпо- чи гіперглікемії, перш ніж змінювати дозування препарату, слід перевірити, чи дотримується хворий призначеної схеми лікування, рекомендованих місць введення препарату, належної техніки ін’єкційного введення, а також оцінити інші важливі фактори.
Пацієнтів потрібно попередити про необхідність постійно змінювати місце ін’єкції, щоб зменшити ризик розвитку ліподистрофії та амілоїдозу шкіри. Існує потенційний ризик затримки абсорбції інсуліну та погіршення глікемічного контролю після ін’єкцій інсуліну в місцях цих реакцій. Повідомляється, що зміна місця ін’єкції на неуражену ділянку шкіри призводить до гіпоглікемії. Рекомендується проводити моніторинг рівня глюкози в крові після зміни місця введення і врахувати коригування дози протидіабетичних препаратів.
Гіпоглікемія. Час, через який розвивається гіпоглікемія, залежить від профілю дії інсулінів, що застосовуються, і тому може змінюватися при зміні схеми лікування. Дотримуватися особливої обережності і посилено контролювати рівень глюкози у крові доцільно пацієнтам, у яких епізоди гіпоглікемії можуть бути особливо небезпечними з клінічної точки зору, таким як пацієнти з вираженим стенозом коронарних артерій або кровоносних судин, що постачають кров’ю головний мозок (ризик серцевих чи мозкових ускладнень гіпоглікемії), а також пацієнтам з проліферативною ретинопатією, особливо тим, кому не проводилася фотокоагуляція (ризик виникнення транзиторної постгіпоглікемічної сліпоти).
Пацієнти повинні знати, що за певних обставин перші симптоми розвитку гіпоглікемії можуть бути менш помітними. Симптоми, що вказують на розвиток гіпоглікемії, можуть змінюватися, ставати менш вираженими або бути взагалі відсутніми у пацієнтів, що належать до певних груп ризику. Серед них хворі:
- у яких спостерігається значне покращення глікемічного контролю,
- у яких гіпоглікемія розвивається поступово,
- літнього віку,
- що перейшли з інсуліну тваринного походження на людський інсулін,
- з вегетативною нейропатією,
- які хворіють на цукровий діабет впродовж тривалого періоду часу,
- з психічними розладами,
- які одночасно отримують терапію деякими іншими лікарськими засобами (див. розділ «Взаємодія з іншими лікарськими засобами та інші види взаємодій»).
У таких ситуаціях може виникати тяжка гіпоглікемія (можливо, із втратою свідомості) ще до того, як пацієнт зрозуміє, що у нього знизився рівень глюкози у крові. Сповільнена дія інсуліну гларгіну при підшкірному введенні може призвести до затримки нормалізації глікемічного стану. Якщо у хворого спостерігається нормальний чи знижений рівень глікозильованого гемоглобіну, необхідно взяти до уваги можливість виникнення у нього періодичних недіагностованих (особливо нічних) епізодів гіпоглікемії.
Для зменшення ризику виникнення гіпоглікемії дуже важливими є дотримання пацієнтом дози препарату, режиму харчування, правильного введення інсуліну, а також поінформованість хворого стосовно симптомів гіпоглікемії. Існує ряд факторів, які підвищують схильність до виникнення гіпоглікемії та вимагають ретельного спостереження за станом хворого, а іноді і корекції дози препарату. До них належать:
- зміна місця введення інсуліну,
- підвищення чутливості до інсуліну (наприклад, при усуненні стресових факторів),
- незвичне, надмірне або тривале фізичне навантаження,
- супутнє захворювання, що супроводжується блюванням, проносом,
- нераціональне харчування,
- пропуск прийому їжі,
- вживання алкоголю,
- деякі порушення ендокринної системи (наприклад гіпотиреоз, недостатність аденогіпофіза чи кори надниркових залоз) у стадії декомпенсації,
- одночасне застосування деяких інших лікарських засобів (див. розділ «Взаємодія з іншими лікарськими засобами та інші види взаємодій»).
Переведення з інсуліну гларгіну 100 Од./мл на препарат Тожео СолоСтар і навпаки. Оскільки інсулін гларгін 100 Од./мл і препарат Тожео СолоСтар не біоеквівалентні і не взаємозамінні, перехід з одного препарату на інший може обумовити потребу у зміні дози і має виконуватися лише під ретельним медичним наглядом (див. розділ «Спосіб застосування та дози»).
Переведення пацієнта з інших інсулінів на препарат Тожео СолоСтар і навпаки. Переведення пацієнта на інший тип або марку інсуліну з препарату Тожео СолоСтар і навпаки має відбуватися під ретельним медичним наглядом. Зміни активності, марки (виробника), типу (простий інсулін, НПХ, ленте, тривалої дії і т.д.), походження (тваринний, людський, аналог людського інсуліну) та/або способу виробництва можуть призвести до необхідності зміни дози інсуліну (див. розділ «Спосіб застосування та дози»).
Супутні захворювання. Наявність супутнього захворювання вимагає посилення контролю за метаболічними показниками. У багатьох випадках показане проведення аналізу сечі на присутність кетонових тіл та часто виникає необхідність у корекції дози інсуліну. Потреба в інсуліні нерідко може зростати. Пацієнтам, хворим на цукровий діабет 1 типу, необхідно продовжувати регулярно споживати хоча б невелику кількість вуглеводів, навіть якщо вони здатні приймати лише незначну кількість їжі або зовсім не можуть приймати їжу, або у них, наприклад, виникає блювання. Вони ніколи не повинні припиняти застосування інсуліну повністю.
Утворення антитіл до інсуліну. Введення препаратів інсуліну може викликати утворення антитіл до нього. У рідкісних випадках через наявність антитіл до інсуліну може виникати потреба у корекції дози для усунення тенденції до гіпо- або гіперглікемії.
Комбінація препарату Тожео СолоСтар з піоглітазоном. При застосуванні піоглітазону в комбінації з інсуліном повідомлялося про випадки серцевої недостатності, особливо у пацієнтів з факторами ризику розвитку серцевої недостатності. Це слід враховувати при розгляді можливості проведення лікування комбінацією піоглітазону та препарату Тожео СолоСтар. При застосуванні цієї комбінації пацієнти мають перебувати під наглядом щодо виникнення симптомів серцевої недостатності, а також збільшення маси тіла і набряку. При будь-якому погіршенні кардіологічних симптомів застосування піоглітазону необхідно припинити.
Помилкове введення іншого препарату. Повідомлялося про помилкові введення іншого препарату, коли інші інсуліни, особливо інсуліни швидкої дії, було випадково введено замість інсулінів тривалої дії. Перед кожною ін’єкцією слід перевіряти етикетку препарату інсуліну, щоб уникнути помилкового введення замість препарату Тожео СолоСтар інших інсулінів або навпаки (див. підрозділ «Особливі застереження при використанні препарату»).
Для уникнення помилок у дозуванні та потенційного передозування пацієнтів слід проінструктувати, що не можна використовувати шприц для відбору препарату Тожео СолоСтар (інсулін гларгін 300 Од./мл) із попередньо наповненої шприц-ручки (див. розділ «Передозування» та підрозділ «Особливі застереження при використанні препарату» нижче).
Перед кожною ін’єкцією необхідно під’єднувати нову стерильну голку. Пацієнти також мають бути проінструктовані не використовувати голки повторно. Повторне використання голки збільшує ризик її блокування, що може призводити до введення недостатньої або надмірної дози препарату. У разі блокування голки пацієнти мусять дотримуватись інструкцій, які описані в кроці 3 інструкції з використання препарату в листку-вкладці (див. підрозділ «Особливі застереження при використанні препарату»).
Пацієнти повинні візуально перевіряти кількість вибраних одиниць на лічильнику дози шприц-ручки. Сліпі хворі або пацієнти з поганим зором повинні бути проінструктовані про необхідність допомоги іншої людини з добрим зором, навченої використовувати цей пристрій для дозування інсуліну.
Також див. розділ «Спосіб введення» у розділі «Спосіб застосування та дози».
Допоміжні речовини. Цей лікарський засіб містить менше 1 ммоль натрію (23 мг) на одну дозу, тобто він практично не містить натрію.
Застосування у період вагітності або годування груддю.
Вагітність. Не існує клінічного досвіду застосування препарату Тожео СолоСтар вагітним жінкам. Не існує клінічних даних, отриманих у ході контрольованих клінічних досліджень, стосовно застосування інсуліну гларгіну у період вагітності. Великий обсяг даних щодо застосування цього препарату вагітним жінкам (більше 1000 випадків вагітності при застосуванні лікарського засобу, що містить інсуліну гларгіну 100 Од./мл) вказує на те, що інсулін гларгін не виявляє специфічних небажаних впливів на перебіг вагітності, а також не спричиняє ані вад розвитку у плода/новонародженого, ані токсичного впливу на нього. Дослідження на лабораторних тваринах не виявили ознак репродуктивної токсичності. Препарат Тожео СолоСтар можна призначати під час вагітності, якщо у цьому лікуванні є потреба.
Для запобігання небажаних наслідків, пов’язаних з виникненням гіперглікемії, пацієнткам, хворим на цукровий діабет, що виник до вагітності, або з гестаційним діабетом упродовж усього періоду вагітності дуже важливо підтримувати належний метаболічний контроль. Потреба в інсуліні може зменшуватися протягом І триместру вагітності та, як правило, зростає протягом II та ІІІ триместрів. Одразу після пологів потреба в інсуліні різко знижується (збільшується ризик виникнення гіпоглікемії). Тому дуже важливе значення має ретельний контроль рівня глюкози у крові.
Годування груддю. Дотепер невідомо, чи екскретується інсулін гларгін у грудне молоко. Виникнення будь-яких метаболічних ефектів, спричинених проникненням інсуліну гларгіну в організм новонародженого/немовляти із грудним молоком при годуванні, не очікується, оскільки інсулін гларгін є пептидом, який у шлунково-кишковому тракті людини розщеплюється на амінокислоти. Жінки під час грудного годування можуть потребувати корекції дози препарату та дієти.
Фертильність. Дослідження на лабораторних тваринах не виявили безпосереднього шкідливого впливу на фертильність.
Здатність впливати на швидкість реакції при керуванні автотранспортом або іншими механізмами. Здатність пацієнта до концентрації уваги та швидкість його реакції можуть порушуватися внаслідок виникнення гіпоглікемії чи гіперглікемії або, наприклад, унаслідок зорових розладів. Це може бути небезпечним у тих ситуаціях, коли ці якості є особливо важливими (наприклад, під час керування транспортними засобами або роботи з іншими механізмами).
Пацієнтам необхідно порадити вживати необхідних запобіжних заходів з метою уникнення гіпоглікемії під час керування транспортним засобом. Це є особливо важливим для тих пацієнтів, у яких перші ознаки розвитку гіпоглікемії є слабко вираженими або взагалі відсутні, а також для тих хворих, у яких часто виникає гіпоглікемія. Слід ретельно зважити, чи варто сідати за кермо або працювати з іншими механізмами у такому стані.
Спосіб застосування та дози.
Дозування. Препарат Тожео СолоСтар є базальним препаратом інсуліну для введення один раз на добу у будь-який час доби, але бажано кожен день в один і той самий час.
Схему введення препарату (дозу та час введення) слід підбирати згідно з індивідуальною відповіддю хворого на лікування.
При цукровому діабеті 1 типу препарат Тожео СолоСтар слід застосовувати у комбінації з інсуліном короткої дії/ швидкої дії для забезпечення потреби в інсуліні після прийомів їжі.
Пацієнтам, хворим на цукровий діабет 2 типу, препарат Тожео СолоСтар також можна застосовувати одночасно з пероральними протидіабетичними лікарськими засобами.
Сила дії цього лікарського засобу виражається в одиницях. Ці одиниці застосовуються винятково для препарату Тожео СолоСтар і відрізняються від МО чи одиниць, в яких виражається сила дії інших аналогів інсуліну (див. розділ «Фармакодинаміка»).
Гнучкість часу введення. За необхідності пацієнти можуть вводити препарат Тожео СолоСтар в інтервалі до 3 годин до або після їхнього звичайного часу введення препарату (див. розділ «Фармакодинаміка»). Пацієнтам, які забувають вводити дозу препарату, рекомендується частіше перевіряти у себе рівень цукру в крові і після цього повернутися до своєї звичайної схеми введення препарату один раз на добу. Пацієнтів слід застерегти від введення подвійної дози препарату для компенсації пропущеної дози.
Пацієнти, хворі на цукровий діабет 1 типу. Препарат Тожео СолоСтар потребує індивідуального підбору дозування і має застосовуватися 1 раз на добу разом з інсуліном короткої дії.
Пацієнти, хворі на цукровий діабет 2 типу. Рекомендована початкова добова доза становить 0,2 одиниці/кг з подальшим індивідуальним її коригуванням.
Перехід з препарату інсуліну гларгіну 100 Од./мл на препарат Тожео СолоСтар і навпаки. Інсулін гларгін 100 Од./мл і препарат Тожео СолоСтар не біоеквівалентні і не взаємозамінні. Перехід з інсуліну гларгіну 100 Од./мл на препарат Тожео СолоСтар можливий зі збереженням точної дози у одиницях, проте для досягнення цільового діапазону рівнів глюкози в плазмі крові може бути потрібне застосування більш високої (приблизно на 10–18 %) дози препарату Тожео СолоСтар. При переведенні пацієнта з препарату Тожео СолоСтар на інсулін гларгін 100 Од./мл необхідно знизити дозу (приблизно на 20 %) для зменшення ризику гіпоглікемії. Під час переходу та протягом перших тижнів після переходу рекомендується ретельно контролювати метаболічні показники.
Перехід з інших базальних інсулінів на препарат Тожео СолоСтар. При переході від схем лікування інсулінами середньої тривалості дії або тривалої дії на схему лікування препаратом Тожео СолоСтар може виникнути потреба у зміні дози базального інсуліну, а також у корекції супутньої протидіабетичної терапії (доз і часу введення додатково застосованих простих інсулінів або аналогів інсуліну швидкої дії чи доз неінсулінових протидіабетичних лікарських засобів).
Заміну базальних інсулінів, які вводяться один раз на добу, на препарат Тожео СолоСтар 1 раз на добу можна виконувати шляхом заміни на ту ж кількість одиниць попередньої дози препарату базального інсуліну.
У разі заміни базальних інсулінів, які вводяться двічі на добу, на препарат Тожео СолоСтар 1 раз на добу рекомендована початкова доза препарату Тожео СолоСтар становить 80 % від повної добової дози попереднього препарату базального інсуліну, прийом якого припиняється.
У пацієнтів, які отримують високі дози інсуліну внаслідок наявності антитіл до людського інсуліну, при переході на препарат Тожео СолоСтар можливе покращення відповіді на введення інсуліну.
Під час переходу на інший препарат та впродовж перших тижнів після цього рекомендується ретельно контролювати метаболічні показники хворого.
Покращення метаболічного контролю і пов’язане з цим збільшення чутливості до інсуліну можуть потребувати додаткової корекції схеми дозування. Корекція дози також може бути потрібна, наприклад, при зміні маси тіла хворого чи зміні його способу життя, зміні часу доби, коли здійснюється введення інсуліну, або при виникненні інших факторів, які сприяють підвищенню схильності до розвитку гіпо- або гіперглікемії (див. розділ «Особливості застосування»).
Перехід з препарату Тожео СолоСтар на інші базальні інсуліни. Під час переходу на інший препарат та впродовж перших тижнів після нього рекомендовано проводити медичний нагляд за хворим з ретельним контролем його метаболічних показників. За інформацією зверніться до інструкції для медичного застосування того лікарського засобу, на який хворий переходить.
Особливі категорії пацієнтів. Тожео СолоСтар можна застосовувати пацієнтам літнього віку, пацієнтам з дисфункцією нирок та пацієнтам з дисфункцією печінки, а також дітям та підліткам віком від 6 років.
Пацієнти літнього віку (від 65 років). У людей літнього віку прогресуюче погіршення функції нирок може стати причиною постійного зменшення потреби в інсуліні (див. розділи «Побічні реакції» та «Фармакодинаміка»).
Ниркова та печінкова недостатність. У пацієнтів з нирковою недостатністю потреба в інсуліні може бути зменшена через послаблення метаболізму інсуліну (див. розділ «Побічні реакції»). У пацієнтів з печінковою недостатністю потреба в інсуліні може зменшуватися через зниження здатності до глюконеогенезу та уповільнення метаболізму інсуліну.
Спосіб введення. Препарат Тожео СолоСтар слід вводити тільки підшкірно. Препарат Тожео СолоСтар вводиться підшкірно шляхом ін’єкцій у стінку живота, стегно, плече, ділянка дельтоподібного м’яза. Місця ін’єкції завжди слід змінювати в межах однієї ділянки, щоб зменшити ризик розвитку ліподистрофії та амілоїдозу шкіри (див. розділи «Особливості застосування» та «Побічні реакції»).
Не дозволяється внутрішньовенне введення препарату Тожео СолоСтар. Подовжена тривалість дії препарату є залежною від його введення у підшкірну тканину. Внутрішньовенне введення звичайної підшкірної дози препарату може призвести до тяжкої гіпоглікемії.
Препарат Тожео СолоСтар не можна застосовувати за допомогою інфузійних інсулінових помп.
У вікні дозування показано кількість одиниць препарату Тожео СолоСтар, яка вводиться. Попередньо наповнена шприц-ручка Тожео СолоСтар спеціально розроблена для препарату Тожео СолоСтар, тому перераховувати дозу для кожної шприц-ручки не потрібно.
Перш ніж використовувати попередньо наповнену шприц-ручку Тожео СолоСтар, необхідно ознайомитися з інструкціями щодо використання (див. підрозділ «Особливі застереження при використанні препарату»).
За допомогою попередньо наповненої шприц-ручки Тожео СолоСтар за одну ін’єкцію можна вводити дозу від 1 до 80 одиниць з кроком підбору дози в 1 одиницю. У віконці дози відображається кількість одиниць препарату, яка вводиться.
Препарат Тожео СолоСтар не можна відбирати з картриджа попередньо наповненої шприц-ручки у шприц, оскільки це може призвести до тяжкого передозування препарату (див. розділ «Передозування» і підрозділ «Особливі застереження при використанні препарату» нижче).
Перед кожною ін’єкцією необхідно під’єднувати нову стерильну голку. Повторне використання голок збільшує ризик блокування голки, що може призводити до введення недостатньої або надмірної дози препарату (див. підрозділ «Особливі застереження при використанні препарату»).
Для запобігання можливій передачі захворювань інсулінові шприц-ручки у жодному разі не повинні використовуватися більш ніж однією особою, навіть якщо при цьому замінюється голка (див. підрозділ «Особливі застереження при використанні препарату»).
Перед використанням попередньо наповненої шприц-ручки Тожео СолоСтар необхідно ретельно прочитати інструкцію з її використання (дивіться нижче).
Особливі застереження при використанні препарату. Перед першим використанням шприц-ручки її слід витримати при кімнатній температурі щонайменше 1 годину.
Перед застосуванням препарату необхідно уважно прочитати інструкцію з використання попередньо наповненої шприц-ручки Тожео СолоСтар та ретельно дотримуватися викладених там рекомендацій (дивіться нижче).
Перед використанням перевіряють картридж шприц-ручки. Його можна використовувати лише тоді, коли в ньому міститься прозорий безбарвний розчин, який за консистенцією нагадує воду, без видимих твердих часточок. Оскільки препарат Тожео СолоСтар є розчином, то він не потребує ресуспендування перед використанням.
Для уникнення помилкового введення інших препаратів інсулінів перед кожною ін’єкцією завжди необхідно перевіряти етикетку на упаковці інсуліну. На етикетці Тожео СолоСтар виділено силу дії – «300», що зазначена на етикетці медово-золотистим кольором.
Користування шприц-ручкою. Лікарський засіб Тожео СолоСтар містить 300 Од./мл інсуліну гларгіну у попередньо наповненій шприц-ручці одноразового використання на 1,5 мл.
Голки необхідно викидати одразу ж після використання. Перед кожною ін’єкцією необхідно під’єднувати нову стерильну голку. При повторному використанні голка може заблокуватися і Ви можете не отримати потрібної дози (введення недостатньої дози) або отримати надто велику дозу препарату (передозування). Використання нової стерильної голки для кожної інʼєкції також зводить до мінімуму ризик контамінації та інфекції. У разі блокування голки пацієнтам необхідно дотримуватися інструкцій, описаних у кроці 3 інструкції з використання (див. нижче).
Не можна використовувати звичайний інсуліновий шприц для відбору препарату інсуліну зі шприц-ручки. Ви можете отримати надто велику дозу інсуліну. Шкала більшості шприців градуйована для використання лише неконцентрованих препаратів інсуліну (100 Од./мл).
Важлива інформація щодо використання шприц-ручки Тожео СолоСтар.
- Шприц-ручка призначена особисто Вам, і не слід передавати її іншим особам.
- Не можна використовувати шприц-ручку у разі її пошкодження або при наявності сумніву щодо правильності її функціонування.
- Завжди слід проводити тест на безпеку.
- Завжди необхідно мати запасну шприц-ручку і запасні голки на випадок втрати або пошкодження основного набору.
Що потрібно знати для проведення ін’єкції.
- Перед використанням шприц-ручки слід запитати свого лікаря або медсестру, як робиться ін’єкція.
- Якщо у Вас є які-небудь складнощі з використанням шприц-ручки, наприклад, через проблеми з зором, зверніться за допомогою.
- Перед використанням шприц-ручки слід перечитати цю інструкцію. У разі недотримання цих настанов Ви можете отримати надто високу або низьку дозу інсуліну.
Додаткові речі, які будуть потрібні при введенні цього препарату:
- нова стерильна голка (дивіться КРОК 2);
- змочений спиртом тампон;
- стійкий до проколювання контейнер для використаних голок та шприц-ручок.
ІНСТРУКЦІЯ з використання шприц-ручки Тожео СолоСтар

*Поршень не буде видно, доки Ви не введете декілька доз.
Рис. 2. Схематичне зображення шприц-ручки Тожео СолоСтар.
КРОК 1. Перевірте свою шприц-ручку.
Щонайменше за 1 годину до проведення ін’єкції вийміть нову шприц-ручку з холодильника. Укол холодним розчином інсуліну більш болісний.
А. Перевірте назву препарату і дату закінчення терміну придатності на етикетці шприц-ручки.
- Переконайтеся, що Ви взяли відповідний препарат інсуліну. Це особливо важливо, якщо у Вас є інші шприц-ручки.

- Ніколи не використовуйте шприц-ручку після закінчення її терміну придатності.
B. Зніміть ковпачок шприц-ручки.

C. Впевніться у тому, що інсулін є прозорим.
- Не використовуйте шприц-ручку, якщо розчин інсуліну мутний на вигляд, забарвлений або містить частинки.

КРОК 2. Приєднайте нову голку.
- Для виконання кожної ін’єкції завжди використовуйте нову стерильну голку. Це допоможе запобігти блокуванню голки, забрудненню та занесенню інфекції.
- Використовуйте тільки такі голки, які є сумісними для використання з препаратом Тожео СолоСтар (наприклад голки виробництва компаній «БД» [BD], «Іпсомед» [Ypsomed], «Артсана» [Artsana] або «Оуен Мамфорд» [Owen Mumford]).
A. Візьміть нову голку та відклейте захисну плівку.

B. Тримайте голку прямо і закрутіть її на шприц-ручку до закріплення. Не закручуйте голку занадто туго.

C. Зніміть зовнішній ковпачок з голки. Збережіть його – він знадобиться пізніше.

D. Зніміть внутрішній ковпачок голки та викиньте його.

Користування голками.
Поводьтеся з голками обережно, щоб запобігти уколам голкою і перехресному інфікуванню.
КРОК 3. Виконайте тест на безпеку.
Завжди виконуйте тест на безпеку перед кожною ін’єкцією для того, щоб:
- перевірити, що Ваша шприц-ручка і голка працюють правильно;
- впевнитися у тому, що Ви отримаєте потрібну Вам дозу інсуліну.
А. Оберіть дозу 3 одиниці, обертаючи перемикач для вибору дози, поки покажчик дози не буде вказувати на риску між 2 і 4.

В. Натисніть кнопку для виконання ін’єкції до упору.
- Якщо з кінчика голки буде виходити інсулін, Ваша шприц-ручка працює правильно.

Якщо інсулін не виходить:
- Вам може бути потрібно повторити цей крок до 3 разів, перш ніж Ви зможете побачити інсулін.
- Якщо інсулін не виходитиме і після третього разу, голка може бути заблокована. Якщо таке станеться:
- змініть голку (див. КРОК 6 та КРОК 2);
- після цього виконайте тест на безпеку повторно (КРОК 3).
- Якщо і після цього інсулін не виходитиме з кінчика голки, не використовуйте Вашу шприц-ручку. Використайте нову шприц-ручку.
- Ніколи не використовуйте шприц для відбору інсуліну з Вашої шприц-ручки.
Якщо Ви побачите бульбашки повітря
- Ви можете побачити бульбашки повітря в інсуліні. Це нормальне явище, вони не зашкодять Вам.
КРОК 4. Оберіть дозу.
Ніколи не обирайте дозу і не натискайте кнопку для виконання ін’єкції без приєднаної голки. Це може пошкодити Вашу шприц-ручку.
A. Впевніться у тому, що голка приєднана до шприц-ручки і що покажчик дози вказує на «0».

B. Обертайте перемикач для вибору дози, поки покажчик дози не буде вказувати на потрібну Вам дозу.
- Якщо Ви повернете перемикач далі, ніж Вам потрібно, Ви можете повернути його у зворотному напрямку.
- Якщо у Вашій шприц-ручці залишилося недостатньо одиниць для Вашої дози, перемикач для вибору дози зупиниться після набору тієї кількості одиниць, що залишилися в шприц-ручці.
- Якщо Ви не можете набрати повну дозу, призначену Вам, розділіть цю дозу на дві ін’єкції або використайте нову шприц-ручку.

Як зчитувати дані у вікні відображення дози
Парні числа показуються на рівні покажчика дози:

Встановлено дозу 30 одиниць
Непарні числа показуються у вигляді рисок між парними числами:

Встановлено дозу 29 одиниць
Кількість одиниць інсуліну у Вашій шприц-ручці
- Ваша шприц-ручка містить загалом 450 одиниць інсуліну. Ви можете обирати дози від 1 до 80 одиниць з кроком у 1 одиницю. Кожна шприц-ручка містить більше однієї дози.
- Ви можете приблизно оцінити, скільки одиниць інсуліну залишилося у шприц-ручці, подивившись, де знаходиться поршень відносно інсулінової шкали.
КРОК 5. Введіть необхідну Вам дозу.
Якщо Ви відчуєте, що Вам важко натискати на кнопку для виконання ін’єкції, не докладайте силу для її натискання, оскільки це може зламати Вашу шприц-ручку. Для допомоги ознайомтеся з розділом нижче.
A. Оберіть місце ін’єкції, як це показано на рисунку.
Місця введення ін’єкцій: стінка живота, ділянка дельтоподібного м’яза або стегно:

B. Введіть голку собі у шкіру так, як Вам показував Ваш лікар або медична сестра.
- При цьому поки що не торкайтеся кнопки для виконання ін’єкції.

C. Покладіть великий палець руки на кнопку для виконання ін’єкції. Після цього натисніть її до упору і утримуйте в такому положенні.
- Не натискайте на кнопку під кутом, оскільки Ваш великий палець може заблокувати обертання перемикача для вибору дози.

D. Утримуйте кнопку для виконання ін’єкції в натисненому положенні, і після того, як Ви побачите у вікні відображення дози «0», повільно порахуйте до 5.
- Це необхідно для того, щоб впевнитися у отриманні повної дози препарату.

E. Після утримання кнопки і повільного рахування до 5 відпустіть кнопку для виконання ін’єкції. Після цього витягніть голку зі шкіри.
Якщо Ви відчуєте, що Вам важко натискати на кнопку для виконання ін’єкції:
- Змініть голку (див. КРОК 6 та КРОК 2), після чого виконайте тест на безпеку (див. КРОК 3).
- Якщо Вам все ще важко натискати на кнопку, візьміть нову ручку.
- Ніколи не використовуйте шприц для відбору інсуліну з Вашої шприц-ручки.
КРОК 6. Від’єднайте голку.
- Поводьтеся з голками обережно, щоб запобігти уколам голкою і перехресному інфікуванню.
- Ніколи не надягайте знову внутрішній ковпачок голки.
A. Надягніть зовнішній ковпачок знову на голку та відкрутіть з його допомогою голку зі шприц-ручки.
- З метою зниження ризику випадкових уколів голкою ніколи не надягайте внутрішній ковпачок голки.
- Якщо ін’єкцію Вам виконує інша особа чи якщо Ви виконуєте ін’єкцію іншій особі, то особа, яка виконує ін’єкцію, повинна витягати та утилізовувати голку з особливою обережністю.
- Дотримуйтесь рекомендованих заходів з безпеки при витяганні та утилізації голок (зверніться до Вашого лікаря чи медичної сестри) для зниження ризику випадкових уколів голкою та передачі інфекційних захворювань.
B. Викиньте використану голку у стійкий до проколювань контейнер або відповідно до рекомендацій Вашого лікаря чи місцевого уповноваженого органу.

C. Надягніть ковпачок шприц-ручки назад на шприц-ручку.
- Не кладіть шприц-ручку назад у холодильник.

Інструкції щодо зберігання.
Перед першим використанням шприц-ручки зберігати у холодильнику при температурі 2–8 °С у захищеному від світла місці. Не заморожувати!
Термін придатності шприц-ручки після першого використання або шприц-ручки, яку беруть з собою як запасну: шприц-ручки слід зберігати не більше 42 днів при температурі не вище 30 °С у захищеному від світла місці.
Шприц-ручку, яка перебуває у використанні, не слід зберігати у холодильнику. Після кожної ін’єкції на шприц-ручку слід знову надягти ковпачок з метою захисту від світла.
Не можна зберігати шприц-ручку з приєднаною до неї голкою.
Експлуатація шприц-ручки. Зі шприц-ручкою слід поводитися обережно: не можна кидати шприц-ручку або вдаряти нею по твердим поверхням. Якщо Вам здається, що шприц-ручку пошкоджено, не намагайтеся її полагодити, візьміть нову.
Захищають шприц-ручку від пилу та бруду: зовнішню поверхню шприц-ручки можна очищати, протираючи її вологою тканиною. Не занурюйте у рідину, не промивайте і не змащуйте шприц-ручку, оскільки це може її пошкодити.
Утилізація шприц-ручки. Перед утилізацією шприц-ручки зніміть з неї голку. Викидайте шприц-ручку так, як рекомендовано місцевими регуляторними органами.
Діти.
Препарат Тожео СолоСтар можна застосовувати підліткам і дітям віком від 6 років на тих же принципах, що і дорослим пацієнтам (див. розділи «Фармакокінетика» та «Фармакодинаміка»). При переході з базального інсуліну на препарат Тожео СолоСтар зменшення дози базального та болюсного інсуліну необхідно розраховувати індивідуально, щоб мінімізувати ризик виникнення гіпоглікемії (див. розділ «Особливості застосування»).
Передозування.
Симптоми. Передозування інсуліну може призвести до тяжкої, а іноді тривалої гіпоглікемії, яка може бути небезпечною для життя хворого.
Лікування. Легкі випадки гіпоглікемії зазвичай можуть бути скориговані пероральним застосуванням вуглеводів. Можуть бути потрібні також корекція дози лікарського препарату, внесення змін у режим харчування чи фізичної активності.
Більш тяжкі епізоди гіпоглікемії, які супроводжуються комою, судомами або неврологічними порушеннями, вимагають внутрішньом’язового/підшкірного введення глюкагону або внутрішньовенного введення концентрованого розчину глюкози. Оскільки гіпоглікемія може повторитися навіть після явного покращання клінічного стану хворого, необхідними заходами є тривале приймання вуглеводів і спостереження за станом пацієнта.
Побічні реакції.
Наведені нижче побічні реакції були зареєстровані у ході клінічних досліджень, які проводилися з застосуванням препарату Тожео СолоСтар (див. розділ «Фармакодинаміка»), та у рамках досвіду клінічного застосування інсуліну гларгіну 100 Од./мл. Гіпоглікемія, як правило, є найчастішою побічною реакцією, що спостерігається під час інсулінотерапії. Вона виникає тоді, коли доза введеного інсуліну перевищує потребу у ньому.
Побічні реакції, пов’язані із застосуванням препарату, що спостерігалися під час клінічних досліджень, наводяться нижче за категоріями «Система-Орган-Клас» у порядку зменшення частоти виникнення (дуже часто (≥1/10); часто (≥1/100 – < 1/10); нечасто (≥1/1000 – < 1/100); рідко (≥1/10 000 – < 1/1000); дуже рідко (< 1/10 000); частота невідома (не може бути оцінена за доступними даними)).
У кожній з цих груп побічні реакції наведено у порядку зменшення ступеня їхньої серйозності.
Розлади з боку імунної системи. Рідко: алергічні реакції.
Метаболічні та аліментарні розлади. Дуже часто: гіпоглікемія.
Розлади з боку нервової системи. Дуже рідко: дисгевзія.
Розлади з боку органів зору. Рідко: порушення зору, ретинопатія.
Розлади з боку шкіри та підшкірної клітковини. Часто: ліпогіпертрофія. Нечасто: ліпоатрофія. Частота невідома: амілоїдоз шкіри.
Розлади з боку опорно-рухової системи та сполучної тканини. Дуже рідко: міалгія.
Порушення загального стану та реакції у місці введення. Часто: реакції у місці ін’єкційного введення препарату. Рідко: набряк.
Метаболічні та аліментарні розлади. Тяжкі епізоди гіпоглікемії, особливо якщо вони виникають неодноразово, можуть стати причиною ураження нервової системи. Тривала або тяжка гіпоглікемія може становити загрозу для життя хворого.
У багатьох пацієнтів симптомам недостатнього надходження глюкози до головного мозку (нейроглікопенія) передують ознаки адренергічної контррегуляції. Як правило, чим більше та швидше знижується рівень цукру в крові, тим більш вираженою є адренергічна контррегуляція та інтенсивніше проявляються симптоми, характерні для неї.
Розлади з боку імунної системи. Реакції гіперчутливості негайного типу на інсулін виникають рідко. Прояви таких реакцій на інсулін (у тому числі на інсулін гларгін) або допоміжні речовини можуть бути, наприклад, пов’язані з генералізованими реакціями з боку шкіри, ангіоневротичним набряком, бронхоспазмом, артеріальною гіпотензією і шоком, які можуть становити загрозу для життя хворого. У клінічних дослідженнях за участю дорослих пацієнтів частота виникнення алергічних реакцій була подібною у пацієнтів, які отримували препарат Тожео СолоСтар (5,3 %), і у пацієнтів, які отримували інсулін гларгін 100 Од./мл (4,5 %).
Розлади з боку органів зору. Значна зміна рівня глюкози у крові може спричинити тимчасове порушення зору внаслідок тимчасової зміни тургору та коефіцієнта заломлення кришталика. Ризик прогресування діабетичної ретинопатії зменшується при досягненні тривалої нормалізації рівня глюкози у крові. Однак інтенсифікація інсулінотерапії із різким покращенням глікемічного контролю може супроводжуватися тимчасовим погіршенням перебігу діабетичної ретинопатії. У хворих на проліферативну ретинопатію, особливо у тих, кому не проводилася фотокоагуляція, епізоди тяжкої гіпоглікемії можуть призвести до тимчасової сліпоти.
Розлади з боку шкіри та підшкірної клітковини. У місці ін’єкційного введення може виникати ліподистрофія та амілоїдоз шкіри, внаслідок чого швидкість всмоктування інсуліну у місці ін’єкції зменшується. Постійна зміна місця проведення ін’єкції у межах окремої ін’єкційної ділянки дає змогу зменшити ці явища або попередити їхню появу (див. розділ «Особливості застосування»).
Порушення загального стану та реакції у місці введення. До реакцій, що виникають у місці введення, належать почервоніння шкіри, біль, свербіння, кропив’янка, припухлість або запалення. Більшість незначних реакцій на інсулін, які виникають в місці введення препарату, зазвичай минають упродовж періоду від кількох днів до кількох тижнів. У клінічних дослідженнях препарату Тожео СолоСтар за участю дорослих пацієнтів частота виникнення реакцій у місцях введення була подібною до такої при лікуванні препаратом інсулін гларгін 100 Од./мл (відповідно 2,5 % і 2,8 %).
Зрідка інсулін може призводити до появи набряків, особливо у випадках, коли завдяки посиленню інтенсивності інсулінотерапії вдається покращити глікемічний контроль, який до цього не був адекватним.
Діти та підлітки.
Безпека та ефективність препарату Тожео були продемонстровані в дослідженні за участю дітей віком від 6 до 18 років. Частота, тип і тяжкість побічних реакцій у дітей є такими самими, як і в загальній популяції хворих на цукровий діабет (див. розділ «Фармакодинаміка»). Дані щодо безпеки клінічного застосування дітям віком до 6 років недоступні.
Інші особливі популяції. На основі результатів клінічних досліджень профіль безпеки препарату Тожео СолоСтар для пацієнтів літнього віку та для хворих з нирковою недостатністю були подібні до такого у загальній популяції пацієнтів (див. розділ «Фармакодинаміка»).
Повідомлення щодо ймовірних побічних реакцій. Повідомлення про підозрювані побічні реакції у період після реєстрації цього препарату є важливим заходом. Вони дають змогу продовжувати контроль за співвідношенням користь/ризик при застосуванні цього лікарського засобу. Медичних працівників просять повідомляти про будь-які підозрювані побічні реакції через державну систему повідомлень.
Термін придатності. 30 місяців.
Термін придатності шприц-ручки після першого використання або шприц-ручки, яку беруть з собою як запасну: шприц-ручки слід зберігати не більше 42 днів при температурі не вище 30 °С у захищеному від світла місці. Шприц-ручку, яка перебуває у використанні, не слід зберігати у холодильнику. Після кожної ін’єкції на шприц-ручку слід знову надягти ковпачок з метою захисту від світла.
Умови зберігання.
Зберігати у недоступному для дітей місці.
Перед першим використанням шприц-ручки зберігати у холодильнику при температурі 2–8 °С у захищеному від світла місці. Не заморожувати!
Шприц-ручка після першого використання або шприц-ручка, яку беруть з собою як запасну: див. розділ «Термін придатності».
Несумісність.
Препарат Тожео СолоСтар не можна змішувати з жодним іншим препаратом інсуліну чи з іншими лікарськими засобами або розводити ними. Змішування з іншими препаратами або розведення цього препарату змінює його профіль дії у часі, а змішування з іншими препаратами призводить до утворення осаду.
Упаковка. № 1, № 3, № 5: по 1,5 мл у картриджі, вмонтованому в одноразову шприц-ручку; по 1, 3 або 5 шприц-ручок в картонній коробці. Голки в упаковку не включені.
Категорія відпуску. За рецептом.
Виробник. Санофі-Авентіс Дойчланд ГмбХ, Німеччина.
Місцезнаходження виробника та його адреса місця провадження діяльності. Брюнінгштрассе 50, Індустріпарк Хьохст, 65926 Франкфурт-на-Майні, Німеччина.
Інсулін гларгін: 100 ОД/мл
Популярні питання
Ціна на Тожео Солостар розчин д/ін. 300 МО/мл по 1,5 мл (картридж) стартує від 494.28 ₴ за упаковку.
Протипоказано. Детальніше необхідно проконсультуватися з вашим лікарем.
Повними аналогами Тожео Солостар розчин д/ін. 300 МО/мл по 1,5 мл (картридж) є
Країна виробник у Тожео Солостар розчин д/ін. 300 МО/мл по 1,5 мл (картридж) - Німеччина.
Основною діючою речовиною у Тожео Солостар розчин д/ін. 300 МО/мл по 1,5 мл (картридж) є Інсулін гларгін.
