Офев капсули по 150 мг №60 (6 блістерів х 10 капсул)
- Все про товар
- Ціни в аптеках
- Відгуки
Інструкція для Офев капсули по 150 мг №60 (6 блістерів х 10 капсул)
Склад:
діюча речовина: нінтеданіб;
1 капсула містить 100 мг або 150 мг нінтеданібу (у вигляді езилату);
допоміжні речовини: тригліцериди середньоланцюгові, твердий жир, лецитин (соєвий) (Е 322);
оболонка капсули: желатин, гліцерин 85%, титану діоксид (Е 171), заліза оксид червоний (Е 172), заліза оксид жовтий (Е 172);
чорнило чорного кольору для маркування капсул: шелак, етанол, пропіленгліколь (Е 1520), заліза оксид чорний (E 172).
Лікарська форма. Капсули м’які.
Основні фізико-хімічні властивості:
ОФЕВ, капсули м’які по 100 мг
Продовгуваті непрозорі м’які желатинові капсули персикового кольору, з одного боку чорним чорнилом нанесений логотип компанії «Boehringer Ingelheim» і маркування «100».
Капсули містять в’язку суспензію яскраво-жовтого кольору.
ОФЕВ, капсули м’які по 150 мг
Продовгуваті непрозорі м’які желатинові капсули коричневого кольору, з одного боку чорним чорнилом нанесений логотип компанії «Boehringer Ingelheim» і маркування «150».
Капсули містять в’язку суспензію яскраво-жовтого кольору.
Фармакотерапевтична група. Антинеопластичні засоби. Інгібітори протеїнкінази.
Код АТХ L01E X09.
Фармакологічні властивості.
Фармакодинаміка.
Механізм дії
Нінтеданіб є низькомолекулярним інгібітором тирозинкінази, який блокує рецептори, у тому числі рецептор фактора росту тромбоцитів (PDGFR) α та β, рецептор фактора росту фібробластів (FGFR) 1–3 і рецептор фактора росту ендотелію судин (VEGFR) 1–3. Крім того, нінтеданіб інгібує кінази Lck (лімфоцитоспецифічна білкова тирозинкіназа), Lyn (білкова тирозинкіназа), Src (протоонкогенна білкова тирозинкіназа) та CSF1R (рецептор колонієстимулюючого фактора 1). Нінтеданіб конкурентно взаємодіє з аденозинтрифосфат (АТФ)-зв’язуючою ділянкою цих кіназ і блокує внутрішньоклітинну передачу каскадних сигналів, які продемонстрували, що вони беруть участь у патогенезі ремоделювання фіброзної тканини при інтерстиціальних захворюваннях легенів.
Фармакодинамічні ефекти
У дослідженнях in vitro з використанням клітин людини було встановлено, що нінтеданіб інгібує процеси, залучені до ініціації фіброзного патогенезу, вивільнення профіброзних медіаторів з моноцитарних клітин периферичної крові та поляризації макрофагів до альтернативно активованих макрофагів. Було встановлено, що нінтеданіб пригнічує фундаментальні процеси у фіброзі органів, проліферації та міграції фібробластів, а також перетворенні на активний фенотип міофібробластів та секреції позаклітинного матриксу. У дослідженнях на тваринах у кількох моделях ІЛФ, СС/ІЗЛ-СС, ІЗЛ, ревматоїдний артрит (РА) обумовлений ІЗЛ, та фіброзів інших органів нінтеданіб продемонстрував протизапальну та антифібротичну дію у легенях, шкірі, серці, нирках та печінці. Нінтеданіб також виявив судинну активність. Він знижував дермальний мікросудинний апоптоз ендотеліальних клітин та послаблював ремоделювання легеневих судин за рахунок зменшення проліферації гладком’язових клітин судин, товщини стінок легеневих судин та частки закупорених легеневих судин.
Клінічна ефективність та безпека
Ідіопатичний легеневий фіброз (ІЛФ)
Клінічна ефективність нінтеданібу вивчалася у пацієнтів з ІЛФ в рамках двох рандомізованих подвійно сліпих плацебо-контрольованих досліджень фази ІІІ з однаковим дизайном (INPULSIS-1 (1199,32) та INPULSIS-2 (1199,34)). Пацієнти з вихідним розрахунковим значенням ФЖЄЛ < 50 % або дифузною здатністю за монооксидом вуглецю (DLCO) з поправкою на гемоглобін) < 30 %, розрахованою на вихідному рівні, були виключені із дослідження. Пацієнти були рандомізовані у співвідношенні 3:2 до групи препарату ОФЕВ 150 мг або групи плацебо із прийомом препарату двічі на добу упродовж 52 тижнів.
Первинною кінцевою точкою був річний показник скорочення форсованої життєвої ємності легенів (ФЖЄЛ). Ключовими вторинними кінцевими точками були зміна загального бала за анкетою Лікарні святого Георгія для оцінки дихальної функції (SGRQ) на 52-му тижні відносно вихідних значень, а також час до першого загострення ІЛФ.
Річний показник скорочення ФЖЄЛ
Річний показник скорочення ФЖЄЛ (у мл) продемонстрував суттєве зниження у пацієнтів, які отримували нінтеданіб, порівняно з тими, хто отримував плацебо. Лікувальний ефект був подібним в обох дослідженнях (див. табл. 1).
Таблиця 1
Річний показник скорочення ФЖЄЛ у дослідженнях INPULSIS-1, INPULSIS-2 та зведені дані в рамках популяції пацієнтів, що пройшли лікування
|
Дослідження |
INPULSIS-1 |
INPULSIS-2 |
INPULSIS-1 та INPULSIS-2, зведені дані |
|||
|
Лікування |
Плацебо |
ОФЕВ 150 мг двічі на добу |
Плацебо |
ОФЕВ 150 мг двічі на добу |
Плацебо |
ОФЕВ 150 мг двічі на добу |
|
Кількість пацієнтів, дані яких були проаналізовані |
204 |
309 |
219 |
329 |
423 |
638 |
|
Показник1 (SE) скорочення за 52 тижні |
−239,9 |
−114,7 |
−207,3 |
−113,6 |
−223,5 |
−113,6 |
|
(18,71) |
(15,33) |
(19,31) |
(15,73) |
(13,45) |
(10,98) |
|
|
Порівняння з плацебо |
||||||
|
Різниця1 |
125,3 |
93,7 |
109,9 |
|||
|
95 % ДІ |
(77,7, |
(44,8, |
(75,9, |
|||
|
172,8) |
142,7) |
144,0) |
||||
|
p-величина |
< 0,0001 |
0,0002 |
< 0,0001 |
|||
|
1 Оцінено на основі регресійної моделі з випадковими коефіцієнтами. ДІ – довірчий інтервал. SE – стандартна похибка. |
В аналізі чутливості, який дав змогу припустити, що у пацієнтів, дані яких відсутні на 52-му тижні, скорочення ФЖЄЛ після останнього зафіксованого значення є аналогічним такому у всіх пацієнтів, які приймали плацебо, скоригована різниця в річному показнику скорочення ФЖЄЛ між групами прийому нінтеданібу та плацебо становила 113,9 мл/рік (95 % ДІ 69,2, 158,5) у дослідженні INPULSIS-1 та 83,3 мл/рік (95 % ДІ 37,6, 129,0) у дослідженні INPULSIS-2.
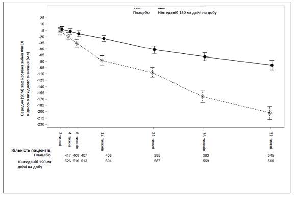
На рис. 1 продемонстровано процес зміни в часі відносно вихідного значення в обох групах лікування, що ґрунтується на узагальненому аналізі даних, отриманих в ході досліджень INPULSIS-1 та INPULSIS-2.

Рис. 1. Середня (SEM) зафіксована зміна ФЖЄЛ в часі відносно вихідного значення (мл), зведені дані досліджень INPULSIS-1 та INPULSIS-2.
Аналіз даних пацієнтів, що відповіли на лікування з точки зору показника ФЖЄЛ
В обох дослідженнях INPULSIS відсоток пацієнтів, що відповіли на лікування з точки зору показника ФЖЄЛ, до категорії яких були включені пацієнти, у яких абсолютне розрахункове скорочення ФЖЄЛ у % не перевищило 5% (граничне значення, що вказує на підвищення ризику смертності при ІЛФ), був значно вищим в групі нінтеданібу, ніж у групі плацебо. Аналогічні результати спостерігалися при аналізі із використанням традиційного граничного значення на рівні 10 % (див. табл. 2).
Таблиця 2
Відсоток пацієнтів, що відповіли на лікування з точки зору показника ФЖЄЛ на 52-му тижні у дослідженнях INPULSIS-1, INPULSIS-2 та зведені дані в рамках популяції пацієнтів, що пройшли лікування
|
Дослідження |
INPULSIS-1 |
INPULSIS-2 |
INPULSIS-1 та INPULSIS-2, зведені дані |
|||
|
Лікування |
Плацебо |
ОФЕВ, 150 мг двічі на добу |
Плацебо |
ОФЕВ, 150 мг двічі на добу |
Плацебо |
ОФЕВ, 150 мг двічі на добу |
|
Кількість пацієнтів, дані яких були проаналізовані |
204 |
309 |
219 |
329 |
423 |
638 |
|
5 % граничне значення |
||||||
|
Кількість (%) пацієнтів, що відпо-віли на лікування з точки зору показника ФЖЄЛ1 |
78 (38,2) |
163 (52,8) |
86 (39,3) |
175 (53,2) |
164 (38,8) |
338 (53,0) |
|
У порівнянні з плацебо |
||||||
|
Співвідношення шансів |
1,85 |
1,79 |
1,84 |
|||
|
95 % ДІ |
(1,28, 2,66) |
(1,26, 2,55) |
(1,43, 2,36) |
|||
|
p-величина2 |
0,0010 |
0,0011 |
<0,0001 |
|||
|
10 % граничне значення |
||||||
|
Кількість (%) пацієнтів, що відповіли на лікування з точки зору показника ФЖЄЛ1 |
116 (56,9) |
218 (70,6) |
140 (63,9) |
229 (69,6) |
256 (60,5) |
447 (70,1) |
|
У порівнянні з плацебо |
||||||
|
Співвідношення шансів |
1,91 |
1,29 |
1,58 |
|||
|
95 % ДІ |
(1,32, 2,79) |
(0,89, 1,86) |
(1,21, 2,05) |
|||
|
p-величина2 |
0,0007 |
0,1833 |
0,0007 |
|||
1Пацієнти, що відповіли на лікування, – це хворі з абсолютним скороченням ФЖЄЛ не більше ніж на 5 або 10 % від розрахункового значення ФЖЄЛ у % залежно від граничного значення, з оцінкою ФЖЄЛ на 52-му тижні.
2На основі логістичної регресії.
Час до прогресування захворювання (абсолютне скорочення розрахункового значення ФЖЄЛ у % на ≥ 10 % або смерть)
В обох дослідженнях INPULSIS було продемонстровано клінічно значуще зниження ризику прогресування захворювання у пацієнтів, що отримували лікування нінтеданібом, у порівнянні з тими, хто отримував плацебо. У зведеному аналізі показник співвідношення ризиків становив 0,60, що вказує на 40 % зниження ризику прогресування захворювання у пацієнтів, що отримували лікування нінтеданібом, у порівнянні із тими, хто отримував плацебо.
Таблиця 3
Відсоток пацієнтів з абсолютним скороченням розрахункового значення ФЖЄЛ у % на ≥ 10 % або смертю (явища) за період 52 тижні та час до прогресування захворювання у дослідженнях INPULSIS-1, INPULSIS-2 і зведені дані в рамках популяції пацієнтів, що пройшли лікування
|
Дослідження |
INPULSIS-1 |
INPULSIS-2 |
INPULSIS-1 та INPULSIS-2, зведені дані |
|||||
|
Лікування |
Плацебо |
ОФЕВ 150 мг двічі на добу |
Плацебо |
ОФЕВ 150 мг двічі на добу |
Плацебо |
ОФЕВ 150 мг двічі на добу |
||
|
Кількість пацієнтів в групі ризику |
204 |
309 |
219 |
329 |
423 |
638 |
||
|
Пацієнти з явищами, N (%) |
83 |
75 |
92 |
98 |
175 |
173 |
||
|
(40,7) |
(24,3) |
(42,0) |
(29,8) |
(41,4) |
(27,1) |
|||
|
Порівняння з плацебо1 |
||||||||
|
p-величина2 |
0,0001 |
0,0054 |
< 0,0001 |
|||||
|
Співвідношення ризиків3 |
0,53 |
0,67 |
0,60 |
|||||
|
95 % ДІ |
(0,39, 0,72) |
(0,51, 0,89) |
(0,49, 0,74) |
|||||
|
1 На основі даних, зібраних за період до 372 днів (52 тижні + 7 днів). 2 На основі логарифмічного рангового критерію. 3 На основі регресійної моделі Кокса. |
||||||||
Зміна загального бала SGRQ на 52-му тижні відносно вихідних значень
У зведеному аналізі досліджень INPULSIS базові показники SGRQ становили 39,51 у групі нінтеданібу та 39,58 у групі плацебо, розрахункова середня зміна загального бала SGRQ на 52-му тижні відносно вихідних значень була меншою в групі нінтеданібу (3,53), ніж в групі плацебо (4,96), з різницею між групами лікування на рівні -1,43 (95 % ДІ: -3,09, 0,23; p = 0,0923). Загалом вплив нінтеданібу на пов’язану зі здоров’ям якість життя, що вимірюється на основі загального бала SGRQ, є незначним та демонструє менше погіршення порівняно із плацебо.
Час до першого загострення ІЛФ
У зведеному аналізі досліджень INPULSIS у пацієнтів, які отримували нінтеданіб, спостерігався чисельно менший ризик першого загострення порівняно з тими, хто приймав плацебо (див. табл. 4).
Таблиця 4
Відсоток пацієнтів із загостреннями ІЛФ (явища) за період 52 тижні та час до першого загострення на основі даних, повідомлених дослідником, у дослідженнях INPULSIS-1, INPULSIS-2 і зведені дані в рамках популяції пацієнтів, що пройшли лікування
|
Дослідження |
INPULSIS-1 |
INPULSIS-2 |
INPULSIS-1 та INPULSIS-2, зведені дані |
|||||
|
Лікування |
Плацебо |
ОФЕВ 150 мг двічі на добу |
Плацебо |
ОФЕВ 150 мг двічі на добу |
Плацебо |
ОФЕВ 150 мг двічі на добу |
||
|
Кількість пацієнтів в групі ризику |
204 |
309 |
219 |
329 |
423 |
638 |
||
|
Пацієнти з явищами, N (%) |
11 (5,4) |
19 (6,1) |
21 (9,6) |
12 (3,6) |
32 (7,6) |
31 (4,9) |
||
|
Порівняння з плацебо1 |
||||||||
|
p-величина2 |
0,6728 |
0,0050 |
0,0823 |
|||||
|
Співвідношення ризиків3 ризиків3 |
1,15 |
0,38 |
0,64 |
|||||
|
95 % ДІ |
(0,54, 2,42) |
(0,19, 0,77) |
(0,39, 1,05) |
|||||
|
1 На основі даних, зібраних за період до 372 днів (52 тижні + 7 днів). 2 На основі логарифмічного рангового критерію. 3 На основі регресійної моделі Кокса. |
||||||||
Аналіз чутливості показав, що відсоток пацієнтів, у яких протягом 52 тижнів був принаймні 1 випадок загострення, що пройшов експертну оцінку, був нижчим у групі нінтеданібу (1,9 % пацієнтів), ніж у групі плацебо (5,7 % пацієнтів). В аналізі часу до настання оціненого випадку загострення із використанням зведених даних було виведено показник співвідношення ризиків (HR) на рівні 0,32 (95 % ДІ 0,16, 0,65; p = 0,0010). Це вказує на те, що ризик виникнення першого загострення ІЛФ був статистично значуще нижчим у групі нінтеданібу, ніж у групі плацебо, в будь-який момент часу.
Аналіз виживаності
У зведеному аналізі даних виживаності за попередньо визначеними змінними в рамках досліджень INPULSIS загальна смертність за 52-тижневий період була нижчою у групі нінтеданібу (5,5 %), ніж в групі плацебо (7,8 %). В аналізі часу до смерті було визначено показник HR 0,70 (95 % ДІ 0,43, 1,12; p = 0,1399). Результати усіх кінцевих точок за параметром «виживаність» (таких як смертність в процесі лікуванні та смертність від респіраторних явищ) продемонстрували переконливу чисельну різницю на користь нінтеданібу.
Таблиця 5
Смертність з усіх причин (явища) за період 52 тижні у дослідженнях INPULSIS-1,
INPULSIS-2 і зведені дані в рамках популяції пацієнтів, що пройшли лікування
|
Дослідження |
INPULSIS-1 |
INPULSIS-2 |
INPULSIS-1 та INPULSIS-2, зведені дані |
|||
|
Лікування |
Плацебо |
ОФЕВ 150 мг двічі на добу |
Плацебо |
ОФЕВ 150 мг двічі на добу |
Плацебо |
ОФЕВ 150 мг двічі на добу |
|
Кількість пацієнтів в групі ризику |
204 |
309 |
219 |
329 |
423 |
638 |
|
Пацієнти з явищами, N (%) |
13 (6,4) |
13 (4,2) |
20 (9,1) |
22 (6,7) |
33 (7,8) |
35 (5,5) |
|
Порівняння з плацебо1 |
||||||
|
p-величина2 |
0,2880 |
0,2995 |
0,1399 |
|||
|
Співвідношення ризиків3 |
0,63 |
0,74 |
0,70 |
|||
|
95 % ДІ |
(0,29, 1,36) |
(0,40, 1,35) |
(0,43, 1,12) |
|||
|
1 На основі даних, зібраних за період до 372 днів (52 тижні + 7 днів). 2 На основі логарифмічного рангового критерію. 3 На основі регресійної моделі Кокса. |
Тривале лікування препаратом ОФЕВ у пацієнтів з ІЛФ (INPULSIS-ON)
У відкритому розширеному дослідженні препарату ОФЕВ брали участь 734 пацієнти з ІЛФ. Пацієнти, які пройшли 52-тижневий період лікування в дослідженні INPULSIS, отримали відкрите лікування препаратом ОФЕВ у подовженому дослідженні INPULSIS-ON. Медіана прийому для пацієнтів, які отримували препарат ОФЕВ в обох дослідженнях (INPULSIS та INPULSIS-ON), становила 44,7 місяця (діапазон 11,9−68,3). Кінцеві точки дослідницької ефективності включали річні темпи зниження ФЖЄЛ протягом 192 тижнів, що становило - 135,1 (5,8) мл/рік у всіх пацієнтів, які лікувалися, та відповідали річній швидкості зниження FVC у пацієнтів, які отримували препарат ОФЕВ у дослідженні ІІІ фази INPULSIS (-113,6 мл/рік). Профіль безпеки препарату ОФЕВ в дослідженні INPULSIS-ON відповідав профілю безпеки у дослідженні INPULSIS фази ІІІ.
Пацієнти з ІЛФ та тяжким порушенням функції легенів (INSTAGE)
INSTAGE являло собою багатоцентрове багатонаціональне проспективне рандомізоване подвійно сліпе клінічне дослідження в паралельних групах тривалістю 24 тижні за участю пацієнтів з ІЛФ та тяжким порушенням функції легенів (DLCO ≤ 35 %). 136 пацієнтів отримували монотерапію препаратом ОФЕВ. Результат щодо первинної кінцевої точки продемонстрував зменшення загального бала за анкетою Лікарні святого Георгія для оцінки дихальної функції (SGRQ) на -0,77 одиниці на 12 тижні на основі скоригованої середньої зміни від вихідного рівня. Апостеріорне порівняння показало, що зниження форсованої життєвої ємності (ФЖЄ) у цих пацієнтів відповідало зниженню ФЖЄ у пацієнтів з менш запущеним захворюванням, які отримували ОФЕВ під час дослідження INPULSIS фази III.
Профіль безпеки та переносимості препарату Офев у пацієнтів з ІЛФ та тяжким порушенням функції легенів відповідав такому у дослідженні INPULSIS фази III.
Додаткові дані, отримані у дослідженні фази IV INJOURNEY, в якому застосовували ОФЕВ у дозі 150 мг двічі на добу та пірфенідон як додаткову терапію
Супутнє лікування нінтеданібом і пірфенідоном вивчали в пошуковому відкритому рандомізованому 12-тижневому дослідженні, у якому застосовували нінтеданіб у дозі 150 мг двічі на добу та пірфенідон як додаткову терапію (з титруванням дози до 801 мг три рази на добу) в порівнянні із застосуванням нінтеданібу в дозі 150 мг два рази на добу як монотерапію 105 рандомізованим пацієнтам. Первинною кінцевою точкою був відсоток пацієнтів, у яких через 12 тижнів виникли небажані явища з боку шлунково-кишкового тракту, порівняно з вихідним рівнем. Такі явища були частими, що узгоджувалось зі встановленим профілем безпеки кожного компонента. Найчастішими небажаними явищами були діарея, нудота та блювання у пацієнтів, які отримували пірфенідон разом з нінтеданібом, порівняно з тими, хто отримував нінтеданіб як монотерапію. Середні абсолютні зміни ФЖЄЛ (форсованої життєвої ємності легень) через 12 тижнів порівняно з вихідним рівнем становили – 13,3 (17,4) мл у пацієнтів, які отримували нінтеданіб та пірфенідон як додаткову терапію (n = 48), у порівнянні з – 40,9 (31,4) мл у пацієнтів, які отримували нінтеданіб як монотерапію (n = 44).
Інші хронічні фіброзуючі інтерстиціальні захворювання легень (ІЗЛ) з прогресуючим фенотипом
Клінічну ефективність нінтеданібу вивчали у пацієнтів з іншими хронічними фіброзуючими ІЗЛ з прогресуючим фенотипом в рамках подвійно сліпого рандомізованого плацебо-контрольованого дослідження фази III (INBUILD). Пацієнтів з ІЛФ виключали. Пацієнтів з клінічним діагнозом хронічного фіброзуючого ІЗЛ реєстрували, якщо вони мали відповідний фіброз (характерні ознаки фіброзу більше 10 %) за даними КТВРЗ та клінічні ознаки прогресування (зниження ФЖЄЛ на ≥ 10 %, зниження ФЖЄЛ на ≥ 5 % та < 10 % із погіршенням симптомів абоза даними КТВРЗ чи погіршення симптомів та за даними КТВРЗ за 24 місяці до скринінгу). Пацієнти повинні були мати ФЖЄЛ ≥ 45 % від належного та DLCO – від 30 % до < 80 % від належного. У пацієнтів повинно було відзначатись прогресування захворювання, незважаючи на лікування, що розцінювалось дослідниками як відповідне клінічній практиці у зв’язку з відповідним ІЗЛ.
663 пацієнти було рандомізовано у співвідношенні 1:1 до групи застосування 150 мг препарату 2 рази/добу або відповідної дози плацебо протягом мінімум 52 тижнів. Медіана прийому препарату ОФЕВ протягом усього дослідження становила 17,4 місяця, а в середньому тривалість прийому була 15,6 місяця. Рандомізація була стратифікована на основі КТВРЗ патерну фіброзних змін за даними головних експертів. Було рандомізовано 412 пацієнтів з патерном фіброзних змін, що відповідають звичайній інтерстиціальній пневмонії (ЗІП) за даними КТВРЗ, та 251 пацієнта з іншими патернами фіброзних змін за даними КТВРЗ . Для аналізу в цьому дослідженні було визначено 2 первинні популяції: всі пацієнти (загальна популяція) та пацієнти з патерном фіброзних змін, що відповідає ЗІП за даними КТВРЗ. Пацієнти з іншими патернами фіброзних змін за даними КТВРЗ представляли додаткову популяцію.
Первинною кінцевою точкою був річний показник скорочення форсованої життєвої ємності легенів (ФЖЄЛ) (мл) протягом 52 тижнів. Ключовими вторинними кінцевими точками були абсолютна зміна від вихідного рівня за Коротким опитувальником з ознак інтерстиціального захворювання легень Кінга (K-BILD) протягом 52 тижнів, час до першого гострого загострення ІЗЛ або смерті протягом 52 тижнів та час до настання смерті протягом 52 тижнів.
Пацієнти мали середній вік (середнє відхилення [СВ; мін. – макс.]) 65,8 (9,8; 27–87) року і середній показник ФЖЄЛ 69,0 % від належного (15,6; 42–137). Основними клінічними діагнозами ІЗЛ у групах, представлених у дослідженні, був гіперсенситивний пневмоніт (26,1 %), аутоімунні ІЗЛ (25,6 %), ідіопатична неспецифічна інтерстиціальна пневмонія (18,9 %), некласифікована ідіопатична інтерстиціальна пневмонія (17,2 %) та інші ІЗЛ (12,2 %).
Річний показник зниження ФЖЄЛ
Річний показник зниження ФЖЄЛ (мл) протягом 52 тижнів продемонстрував суттєве зниження у пацієнтів, які отримували ОФЕВ, порівняно з тими, хто отримував плацебо (таблиця 6), що відповідає відносній ефективності лікування 57,0 %.
Таблиця 6
Річний показник зниження ФЖЄЛ (мл) протягом 52 тижнів
|
Параметри |
Плацебо |
ОФЕВ 150 мг двічі на добу |
|
Кількість пацієнтів, дані яких були проаналізовані |
331 |
332 |
|
Показник 1 (СВ) зниження протягом 52 тижнів |
-187,8 (14,8) |
-80,8 (15,1) |
|
Порівняння з плацебо |
||
|
Різниця 1 |
107,0 |
|
|
95 % ДІ |
(65,4; 148,5) |
|
|
p-значення |
< 0,0001 |
|
1 На основі випадкової регресії коефіцієнтів з фіксованим категоричним впливом лікування, КТВРЗ патернів, фіксованого постійного впливу часу, вихідного показника ФЖЄЛ [мл], а також з урахуванням залежності лікування від часу та вихідного рівня від часу.
Подібні результати спостерігалися у сопервинній популяції пацієнтів з ЗІП-патерном за даними КТВРЗ. Вплив лікування був послідовним у додатковій популяції пацієнтів з іншими патернами фіброзних змін за даними КТВРЗ (р-значення залежності 0,2268) (рис. 2).

Рис.2. Діаграма щорічного темпу зниження ФЖЄЛ (мл) протягом 52 тижнів у популяціях пацієнтів.
Вплив препарату ОФЕВ на зменшення річного показника зниження ФЖЄЛ був підтверджений усіма попередньо визначеними аналізами чутливості; послідовні результати спостерігались у заздалегідь визначених підгрупах ефективності: за статтю, віком, расовою приналежністю, вихідним рівнем ФЖЄЛ (% від належного) та первинним основним клінічним діагнозом ІЗЛ у групах.
На рис. 3 показано еволюцію зміни ФЖЄЛ від вихідного рівня в групах лікування.

Рис. 3. Середня СПСВ (Скорегований показник стандартного відхилення) виявлена зміна ФЖЄЛ від вихідного рівня (мл) протягом 52 тижнів.
Крім того, сприятливі ефекти препарату ОФЕВ спостерігалися на скоригованій середній абсолютній зміні ФЖЄЛ (% від належного) в порівнянні з вихідним рівнем на 52 тижні. Скориговане середнє значення абсолютної зміни ФЖЄЛ (% від належного) від базового рівня до 52 тижня було нижчим у групі нінтеданібу (-2,62 %), ніж у групі плацебо (-5,86 %). Скорегована середня різниця між групами лікування становила 3,24 (95 % ДІ: 2,09; 4,40; номінальне р < 0,0001).
Аналіз пацієнтів, що досягли терапевтичного ефекту за показником ФЖЄЛ
Частка пацієнтів, які досягли терапевтичного ефекту за показником ФЖЄЛ і яка визначались як пацієнти з відносним зниженням рівня ФЖЄЛ % від належного не більше ніж на 5 %, була вищою у групі препарату ОФЕВ порівняно з плацебо. Аналогічні результати спостерігалися в аналізах з використанням порога 10 % (табл. 7).
Таблиця 7
Річний показник зниження ФЖЄЛ (мл) протягом 52 тижнів
|
Лікування |
Плацебо |
ОФЕВ, 150 мг двічі на добу |
|
Кількість пацієнтів, дані яких були проаналізовані |
331 |
332 |
|
5 % граничне значення |
||
|
Кількість (%) пацієнтів, що досягли терапевтичного ефекту за показником ФЖЄЛ1 |
104 (31,4) |
158 (47,6) |
|
У порівнянні з плацебо |
||
|
Співвідношення шансів2 |
2,01 |
|
|
95 % ДІ |
(1,46; 2,76) |
|
|
p-величина |
< 0,0001 |
|
|
10 % граничне значення |
||
|
Кількість (%) пацієнтів, що досягли терапевтичного ефекту за показником ФЖЄЛ1 |
169 (51,1) |
197 (59,3) |
|
У порівнянні з плацебо |
||
|
Співвідношення шансів2 |
1,42 |
|
|
95 % ДІ |
(1,04; 1,94) |
|
|
p-величина |
0,0268 |
|
1 Пацієнти, що досягли терапевтичного ефекту, який оцінювався за показником ФЖЄЛ, – це пацієнти, які не мають відносного зниження ФЖЄЛ (% від належного) більше ніж на 5 % або більше ніж на 10 % залежно від порогових показників та з оцінкою ФЖЄЛ на 52 тижні (пацієнти з відсутніми даними на 52 тижні вважалися такими, що не досягли терапевтичного ефекту).
2 На основі моделі логістичної регресії з безперервним коваріатним базовим рівнем ФЖЄЛ (%) та бінарним коваріатним КТВРЗ-патерном.
Час до першого загострення ІЗЛ або смерті
Протягом усього дослідження частка пацієнтів, що мали хоча б один випадок першого гострого загострення ІЗЛ або смерті, становила 13,9 % у групі ОФЕВ та 19,6 % у групі плацебо. ВР становив 0,67 (95 % ДІ: 0,46, 0,98; номінальне р = 0,0387), що свідчить про зниження на 33 % ризику першого загострення ІЗЛ або смерті у пацієнтів, які отримували ОФЕВ порівняно з тими, хто отримав плацебо (рис. 4).

2 р/д – двічі на добу
Рис.4. Час до першого загострення ІЗЛ або смерті.
Аналіз виживаності
Ризик смерті був нижчим у групі препарату ОФЕВ порівняно з групою плацебо. ВР становив 0,78 (95 % ДІ: 0,50, 1,21; номінальне р = 0,2594), що свідчить про 22 % зниження ризику смерті у пацієнтів, які отримували ОФЕВ, порівняно з тими, хто отримував плацебо.
Час до прогресування (абсолютне зниження ФЖЄЛ (% від належного) на ≥ 10 %) або смерті
У дослідженні INBUILD ризик прогресування (абсолютне зниження ФЖЄЛ (% від належного) на ≥ 10%) або смерті був меншим у пацієнтів, які отримували ОФЕВ. Частка пацієнтів із визначеною подією становила 40,4% у групі препарату ОФЕВ та 54,7% у групі плацебо. ВР становив 0,66 (95% ДІ: 0,53; 0,83; р = 0,0003), що вказує на 34% зниження ризику прогресування (абсолютне зниження ФЖЄЛ (% від належного) на ≥ 10%) або смерті у пацієнтів, які отримували ОФЕВ, порівняно з тими, хто отримував плацебо.
Якість життя
Скоригована середня зміна від вихідного рівня за загальним балом K-BILD на 52 тижні становила - 0,79 одиниці у групі плацебо та 0,55 у групі препарату ОФЕВ. Різниця між групами лікування становила 1,34 (95 % ДІ: - 0,31; 2,98; номінальне р = 0,1115).
Скоригована середня абсолютна зміна від вихідного рівня за показниками симптомів задишки згідно з опитувальником L-PF на 52 тижні становила 4,28 у групі препарату ОФЕВ порівняно з 7,81 у групі плацебо. Скоригована середня різниця між групами на користь препарату ОФЕВ становила -3,53 (95 % ДІ: - 6,14; - 0,92; номінальне р = 0,0081). Скоригована середня абсолютна зміна від вихідного рівня за показниками симптомів кашлю згідно з опитувальником L-PF на 52 тижні становила - 1,84 у групі препарату ОФЕВ порівняно з 4,25 у групі плацебо. Скоригована середня різниця між групами на користь препарату ОФЕВ становила - 6,09 (95 % ДІ: - 9,65; - 2,53; номінальне р = 0,0008).
Інтерстиціальне захворювання легень при системній склеродермії (системному склерозі) (ІЗЛ-СС)
Клінічна ефективність нінтеданібу вивчалася у пацієнтів з ІЗЛ-СС в рамках подвійно сліпого рандомізованого плацебо-контрольованого дослідження фази III (SENSCIS). У пацієнтів діагностували ІЗЛ-СС на основі класифікаційних критеріїв СС Американського коледжу ревматології/Європейської ліги проти ревматизму 2013 та комп’ютерної томографії високої роздільної здатності (КТВРЗ) грудної клітки протягом попередніх 12 місяців. 580 пацієнтів були рандомізовані у співвідношенні 1:1 та отримували або ОФЕВ 150 мг двічі на добу, або плацебо протягом мінімум 52 тижнів. З них лікування пройшли 576 пацієнтів. Рандомізація була стратифікована за допомогою статусу антитопоізомеразних антитіл (ATA). Окремі пацієнти перебували на лікуванні в «сліпому» режимі до 100 тижнів (медіана експозиції ОФЕВ 15,4 міс.; середня експозиція ОФЕВ 14,5 міс.).
Первинною кінцевою точкою був річний показник скорочення форсованої життєвої ємності легенів (ФЖЄЛ) протягом 52 тижнів. Ключовими вторинними кінцевими точками були абсолютна зміна від вихідного рівня з боку шкіри за модифікованою шкалою Роднана (mRSS) на 52 тижні та абсолютна зміна від вихідного рівня загального бала за анкетою Лікарні святого Георгія для оцінки дихальної функції (SGRQ) на 52 тижні.
У загальній популяції 75,2 % пацієнтів були жінками. Середній (стандартне відхилення (СВ, мін.–макс.)) вік становив 54 (12,2; 20–79) роки. Всього 51,9 % пацієнтів мали дифузну шкірну форму системного склерозу (СС); 48,1 % – обмежену форму шкірного СС. Середній (СВ) час з моменту появи першого «не Рейно» симптому становив 3,49 (1,7) року. 49,0 % пацієнтів отримували стабільну терапію мікофенолатом на вихідному рівні. Профіль безпеки у пацієнтів, що отримували або не отримували мікофенолат на вихідному рівні, був подібним.
Річний показник зниження ФЖЄЛ
Річний показник зниження ФЖЄЛ (мл) протягом 52 тижнів значно зменшився на (41,0) мл у пацієнтів, які отримували ОФЕВ, порівняно з тими, хто отримував плацебо (таблиця 8), що відповідає відносній ефективності лікування 43,8 %.
Таблиця 8
Річний показник зниження ФЖЄЛ (мл) протягом 52 тижнів
|
Лікування |
Плацебо |
ОФЕВ 150 мг двічі на добу |
|
Кількість пацієнтів, дані яких були проаналізовані |
288 |
287 |
|
Показник1 (СП) зниження протягом 52 тижнів |
-93,3 (13,5) |
-52,4 (13,8) |
|
Порівняння з плацебо |
||
|
Різниця 1 |
41,0 |
|
|
95 % ДІ |
(2,9, 79,0) |
|
|
p-значення |
< 0,05 |
1 На основі випадкової регресії коефіцієнтів з фіксованим категоричним впливом лікування, статусу ATA, статі пацієнта, фіксованого постійного впливу часу, вихідного показника ФЖЄЛ (мл), віку, росту пацієнта, а також з урахуванням залежності ефективності лікування від часу та залежності змін від вихідного рівня від часу. Випадковий ефект був включений для конкретного моменту реєстрації пацієнта та часу. Внутрішні похибки були змодельовані за неструктурованою дисперсійно-коваріаційною матрицею. Міжособистісна мінливість моделювалась за дисперсійно-коваріаційною матрицею з дисперсійними компонентами.
Вплив препарату ОФЕВ на зменшення річного показника зниження ФЖЄЛ був подібним у попередньо визначених аналізах чутливості; гетерогенність не була виявлена у попередньо визначених підгрупах пацієнтів (наприклад, за віком, статтю та застосуванням мікофенолату).
Крім того, аналогічні ефекти спостерігалися щодо інших кінцевих точок для легеневої функції, зокрема зміни ФЖЄЛ на 52-му тижні (рис. 5 та таблиця 9) від вихідного рівня та прогнозна швидкість зниження ФЖЄЛ у % протягом 52 тижнів (таблиця 10), що забезпечує додаткове обґрунтування ефекту ОФЕВ з точки зору уповільнення прогресування ІЗЛ-СС. Крім того, у меншої кількості пацієнтів у групі ОФЕВ відзначалось абсолютне скорочення ФЖЄЛ > 5 % (20,6 % у групі ОФЕВ проти 28,5 % у групі плацебо, ВШ=0,65, p=0,0287). Відносне скорочення ФЖЄЛ у мл > 10% було подібним у групах (16,7 % у групі ОФЕВ проти 18,1 % у групі плацебо, ВШ=0,91, p=0,6842). У цих аналізах відсутні значення ФЖЄЛ на 52 тижні були розраховані за найгіршим показником у пацієнта під час лікування.
Дослідницький аналіз даних до 100 тижнів (максимальна тривалість лікування у дослідженні SENSCIS) показує, що вплив лікування препаратом ОФЕВ на уповільнення прогресування ІЗЛ-СС зберігається понад 52 тижні.

Рис. 5. Середня (СПСВ) виявлена зміна ФЖЄЛ від вихідного рівня (мл) протягом 52 тижні.
Таблиця 9
Абсолютна зміна ФЖЄЛ (мл) від вихідного рівня на 52 тижні
|
Лікування |
Плацебо |
ОФЕВ 150 мг двічі на добу |
|
Кількість пацієнтів, дані яких були проаналізовані |
288 |
288 |
|
Середнє (СВ) на вихідному рівні |
2541,0 (815,5) |
2458,5 (735,9) |
|
Середня1 (СП) зміна від вихідного рівня на 52 тижні |
-101,0 (13,6) |
-54,6 (13,9) |
|
Порівняння з плацебо |
||
|
Середнє 1 |
46.4 |
|
|
95 % ДІ |
(8,1; 84,7) |
|
|
p-значення |
< 0,05 |
1 На основі змішаної моделі повторних вимірів (MMRM) з фіксованим категоричним впливом статусу ATA, візиту, взаємодії лікування за візитом, взаємодії вихідного рівня за візитом, віку, статі та росту пацієнта. Візит був повторюваним виміром. Внутрішні похибки були змодельовані за неструктурованою дисперсійно-коваріаційною матрицею. Скориговане середнє значення ґрунтувалось на кількості всіх проаналізованих пацієнтів у моделі (не тільки тих, яким вимірювання проводилось на вихідному рівні та на 52 тижні).
Таблиця 10
Річний показник зниження ФЖЄЛ (%) протягом 52 тижнів
|
Лікування |
Плацебо |
ОФЕВ 150 мг двічі на добу |
|
Кількість пацієнтів, дані яких були проаналізовані |
288 |
287 |
|
Показник1 (СП) зниження протягом 52 тижнів |
-2.6 (0,4) |
-1,4 (0,4) |
|
Порівняння з плацебо |
||
|
Різниця 1 |
1,15 |
|
|
95 % ДІ |
(0,09; 2,21) |
|
|
p-значення |
< 0,05 |
1 На основі випадкової регресії коефіцієнтів з фіксованим категоричним впливом лікування, статусу ATA, фіксованого постійного впливу часу, вихідного показника ФЖЄЛ (% від належного), а також з урахуванням залежності ефективності лікування від часу та залежності змін від вихідного рівня від часу. Випадковий ефект був включений для конкретного моменту реєстрації пацієнта та часу. Внутрішні похибки були змодельовані за неструктурованою дисперсійно-коваріаційною матрицею. Міжособистісна мінливість моделювалась за дисперсійно-коваріаційною матрицею з дисперсійними компонентами.
Зміна від вихідного рівня з боку шкіри за модифікованою шкалою Роднана (mRSS) на 52 тижні
Скоригована середня абсолютна зміна від вихідного рівня за mRSS на 52 тижні була подібною у групі препарату ОФЕВ (-2,17 (95 % ДІ -2,69, -1,65)) та групі плацебо (-1,96 (95 % ДІ -2,48, -1,45)). Скоригована середня різниця між групами лікування становила -0,21 (95 % ДІ -0,94, 0,53; p = 0,5785).
Зміна від вихідного рівня загального бала за анкетою Лікарні святого Георгія (SGRQ) на 52 тижні
Скоригована середня абсолютна зміна від вихідного рівня загального бала за SGRQ на 52 тижні була подібною у групі препарату ОФЕВ (0,81 (95 % ДІ -0,92, 2,55)) та групі плацебо (-0,88 (95 % ДІ -2,58, 0,82)). Скоригована середня різниця між групами лікування становила 1,69 (95 % ДІ -0,73, 4,12; p = 0,1711).
Аналіз виживаності
Рівень смертності протягом усього періоду дослідження був подібним у групі препарату ОФЕВ (N = 10; 3,5 %) та групі плацебо (N = 9; 3,1 %). В аналізі часу до смерті протягом усього періоду дослідження було визначено значення ВШ 1,16 (95 % ДІ 0,47, 2,84; p = 0,7535).
Інтервал QT
В рамках спеціального дослідження за участю пацієнтів з нирковоклітинним раком були зроблені вимірювання інтервалу QT/комплексу QT; в результаті цих вимірювань встановлено, що разова пероральна доза 200 мг нінтеданібу, а також багаторазові пероральні дози 200 мг нінтеданібу із прийомом в режимі двічі на добу протягом 15 днів не подовжували інтервал QT з коригуванням Фрідеріція.
Діти.
ОФЕВ не досліджували у педіатричній практиці при ІЛФ.
Фармакокінетика.
Абсорбція
Максимальна концентрація нінтеданібу в плазмі крові досягається приблизно через 2–4 години після перорального прийому препарату у формі м’яких желатинових капсул під час їди (діапазон 0,5–8 годин). Абсолютна біодоступність дози 100 мг складає у здорових добровольців 4,69 % (90 % ДІ 3,615–6,078). Абсорбція та біодоступність зменшуються внаслідок дії транспортера та суттєвого пресистемного метаболізму. Встановлено, що експозиція нінтеданібу збільшується пропорційно дозі (у діапазонах доз 50–450 мг один раз на добу та 150–300 мг двічі на добу). Стійкі концентрації в плазмі крові досягаються максимум впродовж одного тижня після початку прийому.
Експозиція нінтеданібу збільшується у разі прийому після їди приблизно на 20 % у порівнянні з прийомом препарату натще (ДІ 95,3–152,5 %), а всмоктування сповільнюється (медіана часу досягнення максимальної концентрації в плазмі крові натще (tmax) – 2,00 години; після їди – 3,98 години).
Розподіл
Розподіл нінтеданібу здійснюється шляхом двофазної кінетики. Після внутрішньовенної інфузії під час термінальної фази спостерігається великий об’єм розподілу (Vss): 1050 л, геометричний коефіцієнт варіації (gCV) 45,0 %).
Зв’язування нінтеданібу з білками плазми людини in vitro вважається значним, зв’язана фракція складає 97,8 %. Основним білком, що бере участь в зв’язуванні, вважається альбумін сироватки крові. Нінтеданіб переважно розподіляється в плазмі, співвідношення кров/плазма становила 0,869.
Біотрансформація
Основною реакцією, що бере участь в метаболізмі нінтеданібу, є гідролітичне розщеплення за допомогою естераз, що призводить до утворення вільного кислого метаболіту нінтеданібу (BIBF 1202). Надалі BIBF 1202 глюкуронізується ферментами уридин-5’-дифосфат-глюкуронозилтрасферази (UGT), а саме UGT 1A1, UGT 1A7, UGT 1A8 та UGT 1A10, з утворенням глюкуроніду BIBF 1202.
Біотрансформація нінтеданібу за участю ізоферментів CYP відбувається лише незначною мірою; основну роль у цьому процесі відіграє ізофермент CYP 3A4. У дослідженні ADME у людини основний метаболіт, що утворюється за участю ізоферментів CYP, виявити в плазмі не вдалося. За даними дослідження in vitro CYP-залежний метаболізм складає приблизно 5 %, тоді як розщеплення, здійснюване естеразами, складає 25 %. Нінтеданіб, BIBF 1202 та глюкуронід BIBF 1202 не пригнічували і не стимулювали ізоферменти CYP і в доклінічних дослідженнях. Тому не слід очікувати лікарських взаємодій між нінтеданібом і субстратами CYP, інгібіторами CYP або індукторами CYP.
Виведення
Загальний кліренс плазми після внутрішньовенної інфузії є високим (1390 мл/хв, gCV 28,8 %). Виведення із сечею незміненої активної речовини впродовж 48 годин після прийому нінтеданібу всередину складає приблизно 0,05 % від величини дози (gCV 31,5 %), а після внутрішньовенного введення – приблизно 1,4 % (gCV 24,2 %); нирковий кліренс становить 20 мл/хв (gCV 32,6 %). Після прийому всередину [14C]-нінтеданібу радіоактивний матеріал виводився переважно з жовчю і виявлявся в калі (93,4 % дози, gCV 2,61 %). Частка ниркової екскреції в загальному кліренсі є низькою (0,649 % дози (gCV 26,3 %)). Виведення вважається повним (більше 90 %) через 4 дні після прийому. Період напіввиведення нінтеданібу в термінальній стадії становить від 10 до 15 годин (gCV приблизно 50 %).
Лінійність/нелінійність
Можна припустити, що фармакокінетика (ФК) нінтеданібу лінійна відносно часу (тобто дані щодо застосування разової дози можуть бути екстрапольовані на дані щодо багаторазового використання). Значення Cmax в результаті накопичення препарату після багаторазового застосування перевищує показник Cmax разової дози в 1,04 раза, а значення AUCτ – в 1,38 раза. Мінімальні остаточні концентрації нінтеданібу залишаються стабільними протягом більше одного року.
Транспортування
Нінтеданіб є субстратом для глікопротеїну P (P-gp). Див. розділ «Взаємодія з іншими лікарськими засобами та інші види взаємодій» для отримання інформації стосовно можливої взаємодії нінтеданібу із цим транспортером. Показано, що нінтеданіб in vitro не є субстратом або інгібітором OATP-1B1, OATP-1B3, OATP-2B1, OCT-2 або MRP-2. Нінтеданіб також не є субстратом BCRP. In vitro було встановлено, що нінтеданіб має слабку інгібувальну активність відносно OCT-1, BCRP і P-gp, що, як вважається, має невелику клінічну значущість. Такий же висновок зроблений стосовно нінтеданібу як субстрату OCT-1.
Фармакокінетика у особливих груп пацієнтів
Фармакокінетичні властивості нінтеданібу були порівнянні у здорових добровольців, пацієнтів з ІЛФ, пацієнтів з іншими інтерстиціальними захворюваннями легень з прогресуючим фенотипом, пацієнтів з ІЗЛ-СС та онкологічними захворюваннями. З огляду на результати популяційного фармакокінетичного аналізу у пацієнтів з ІЛФ та недрібноклітинним раком легенів (НДРЛ) (N = 1 191) і описових досліджень, на дію нінтеданібу не впливали такі чинники, як стать пацієнта (з поправкою на масу тіла), порушення функції нирок легкого і середнього ступеня тяжкості (розраховане на основі кліренсу креатиніну), вживання алкоголю або генотип Р-глікопротеїну. Популяційний фармакокінетичний аналіз виявив помірний вплив статі, маси тіла і расової приналежності пацієнта на дію нінтеданібу, як описано нижче. У зв’язку з тим, що спостерігалася висока міжсуб’єктна варіабельність експозиції, ці несуттєві впливи не вважалися клінічно значущими (див. розділ «Особливості застосування»).
Вік
Експозиція нінтеданібу лінійно збільшується з віком. У 45-річних пацієнтів значення AUCτ,ss було нижчим на 16 %, а у 76-річних пацієнтів – вищим на 13 % в порівнянні з пацієнтами, медіана віку яких становила 62 роки. Діапазон віку, що оцінювався в ході аналізу, становив 29–85 років; вік понад 75 років відзначався приблизно у 5 % популяції пацієнтів. На основі моделі популяційного фармакокінетичного аналізу встановлено, що у пацієнтів віком від 75 років спостерігалося збільшення експозиції нінтеданібу приблизно на 20–25 %, порівняно із пацієнтами віком до 65 років.
Аналогічні дослідження за участю дітей не проводилися.
Маса тіла
Спостерігається обернена кореляція між масою тіла і експозицією нінтеданібу. У пацієнтів з масою тіла 50 кг (5-й процентиль) величина AUCτ,ss збільшувалася на 25 %, а у пацієнтів з масою тіла 100 кг (95-й процентиль) – зменшувалася на 19 % у порівнянні з пацієнтами, медіана маси тіла яких становила 71,5 кг.
Раса
Середня експозиція нінтеданібу вища на 33–50 % у китайців, тайванців та індусів і на 16 % вища у японців, а у корейців – на 16–22 % нижча, ніж у пацієнтів європеоїдної раси (з поправкою на масу тіла). Дані стосовно пацієнтів негроїдної раси є дуже обмеженими; діапазон цих даних схожий на такий у пацієнтів європеоїдної раси.
Порушення функції печінки
У спеціалізованій фазі І дослідження у добровольців з легкими порушеннями функції печінки (клас А за шкалою Чайлда – П’ю) експозиція на основі Cmax та AUC була в 2,2 раза вищою порівняно з такою у здорових добровольців (90 % ДІ 1,3–3,7 для Cmax та 90 % ДІ 1,2–3,8 для AUC відповідно). У добровольців з помірними порушеннями функції печінки (клас B за шкалою Чайлда – П’ю) порівняно зі здоровими добровольцями експозиція була в 7,6 раза вищою на основі Cmax (90 % ДІ 4,4–13,2) та в 8,7 раза вищою на основі AUC (90 % ДІ 5,7–13,1) відповідно. Дослідження за участю пацієнтів з тяжкими порушеннями функції печінки (клас C за шкалою Чайлда – П’ю) не проводилось.
Одночасна терапія з пірфенідоном
У спеціальному фармакокінетичному дослідженні вивчали супутнє застосування нінтеданібу та пірфенідону пацієнтам з ІЛФ (ідіопатичним легеневим фіброзом). Група 1 отримала разову дозу 150 мг нінтеданібу до та після збільшення дози пірфенідону до 801 мг тричі на добу у рівноважному стані (N = 20 пролікованих пацієнтів). Група 2 отримала лікування у рівноважному стані із використанням 801 мг пірфенідону тричі на добу й взяла участь у визначенні параметрів ФК до та після 7 днів супутнього лікування разом з нінтеданібом в дозі 150 мг двічі на добу (N = 17 пролікованих пацієнтів). В групі 1 значення скоригованого відношення середніх геометричних [90% довірчий інтервал (ДІ)] Cmax і AUC0-tz нінтеданібу дорівнювали 93 % (57–151 %) та 96 % (70–131 %) відповідно (n = 12 для внутрішньосуб’єктного порівняння). В групі 2 значення скоригованого відношення середніх геометричних (90 % ДІ)) дорівнювали 97 % (86—110 %) та 95 % (86–106 %) для Cmax,ss і AUCτ,ss пірфенідону відповідно (n = 12 для міжсуб’єктного порівняння).
Це дослідження не виявило жодних доказів значущої фармакокінетичної лікарської взаємодії між нінтеданібом та пірфенідоном при застосуванні в комбінації (див. розділ «Особливості застосування»).
Одночасне лікування з бозентаном
У спеціальному дослідженні фармакокінетики супутнє застосування лікарського засобу ОФЕВ з бозентаном досліджували за участю здорових добровольців. Пацієнти отримували одну дозу препарату ОФЕВ 150 мг до та після кількох доз бозентану 125 мг двічі на добу в умовах стаціонара. Скориговані середні геометричні співвідношення (90 % довірчий інтервал (ДІ)) становили 103 % (86 – 124 %) та 99 % (91 – 107 %) для Cmax та AUC0-tz нінтеданібу відповідно (n=13), що вказує на те, що супутнє застосування нінтеданібу з бозентаном не змінює фармакокінетику нінтеданібу.
Одночасне застосування пероральних гормональних контрацептивів
У спеціальному фармакокінетичному дослідженні пацієнтки з ІЗЛ-СС отримували разову дозу комбінації 30 мкг етинілестрадіолу та 150 мкг левоноргестрелу до та після прийому 150 мг нінтеданібу двічі на добу протягом принаймні 10 днів. Відкориговані середні геометричні співвідношення (90 % довірчий інтервал (ДІ)) становили 117 % (108–127 %; Cmax) та 101 % (93–111 %; AUC0–tz) для етинілестрадіолу та 101 % (90–113 %; Cmax) та 96 % (91–102 %; AUC0–tz) для левоноргестрелу відповідно (n = 15), що вказує на те, що одночасне застосування нінтеданібу не здійснює значущого впливу на рівень етинілестрадіолу та левоноргестрелу в плазмі.
Коефіцієнт експозиція–відповідь
Аналізи коефіцієнта експозиція–відповідь у пацієнтів із ІЛФ та іншими хронічними фіброзуючими ІЗЛ з прогресуючим фенотипом виявили слабкий зв’язок між рівнем нінтеданібу в плазмі та підвищенням рівня АЛТ та/або АСТ. Фактична введена доза може бути кращим предиктором ризику розвитку діареї будь-якої інтенсивності, навіть якщо не можна виключити рівень нінтеданібу в плазмі як фактор, що визначає ризик (див. розділ «Особливості застосування»).
Клінічні характеристики.
Показання.
ОФЕВ показаний для лікування ідіопатичного легеневого фіброзу (ІЛФ) у дорослих.
ОФЕВ також показаний для лікування інших хронічних фіброзуючих інтерстиціальних захворювань легень (ІЗЛ) з прогресуючим фенотипом у дорослих (див. розділ «Фармакологічні властивості. Фармакодинаміка»).
ОФЕВ показаний для лікування інтерстиціального захворювання легень при системній склеродермії (системному склерозі) (ІЗЛ-СС).
Протипоказання.
Вагітність (див. розділ «Застосування у період вагітності або годування груддю»).
Підвищена чутливість до нінтеданібу, арахісу чи сої або до будь-якої із допоміжних речовин препарату.
Взаємодія з іншими лікарськими засобами та інші види взаємодій.
P-глікопротеїн (P-gp)
Нінтеданіб є субстратом P-gp (див. розділ «Фармакологічні властивості. Фармакокінетика»). У спеціальному дослідженні взаємодії препаратів встановлено, що спільне застосування з активним інгібітором P-gp кетоконазолом збільшує експозицію нінтеданібу за показником AUC в 1,61 раза, а за показником Cmax в 1,83 раза. Спеціальне дослідження взаємодії препаратів продемонструвало, що одночасне застосування рифампіцину (активного індуктора P-gp) призводить до зменшення експозиції нінтеданібу за показником AUC на 50,3 %, а за показником Cmax на 60,3 % (порівняно із застосуванням одного нінтеданібу). Активні інгібітори P-gp (наприклад кетоконазол, еритроміцин або циклоспорин) у разі спільного застосування з препаратом ОФЕВ можуть збільшувати експозицію нінтеданібу. Тому потрібно ретельно відслідковувати переносимість нінтеданібу у пацієнтів. При виникненні побічних реакцій може бути потрібне призупинення терапії, зниження дози або відміна лікування препаратом ОФЕВ (див. розділ «Спосіб застосування та дози»).
Активні індуктори P-gp (наприклад рифампіцин, карбамазепін, фенітоїн і препарати звіробою звичайного) можуть зменшувати експозицію нінтеданібу. Рекомендується підбір альтернативної супутньої терапії з відсутністю або мінімальною індукуючою дією на систему P-gp.
Ізофермент цитохрому (CYP)
Ізоферменти CYP беруть лише незначну участь у біотрансформації нінтеданібу. У доклінічних дослідженнях нінтеданіб та його метаболіти (BIBF 1202 – вільний кислий метаболіт нінтеданібу і його глюкуронід BIBF 1202) не інгібували і не індукували ізоферменти CYP (див. розділ «Фармакологічні властивості. Фармакокінетика»). Тому вірогідність лікарських взаємодій з нінтеданібом, що ґрунтуються на метаболізмі CYP, вважається невеликою.
Одночасне застосування з іншими препаратами
Одночасне застосування нінтеданібу з пероральними гормональними контрацептивами не змінювало фармакокінетику пероральних контрацептивів значущою мірою (див. розділ «Фармакологчні властивості. Фармакокінетика).
Одночасне застосування нінтеданібу з бозентаном не змінює фармакокінетику нінтеданібу (див. розділ «Фармакологічні властивості. Фармакокінетика»).
Особливості застосування.
Порушення з боку шлунково-кишкового тракту
Діарея
У клінічних дослідженнях (див. розділ «Фармакологічні властивості. Фармакодинаміка») діарея була найбільш частим побічним явищем з боку шлунково-кишкового тракту (див. розділ «Побічні реакції»). У більшості пацієнтів такі небажані явища були легкого і помірного ступеня тяжкості і відзначалися упродовж перших 3 місяців лікування.
Протягом післяреєстраційного періоду застосування повідомляли про серйозні випадки діареї, що призводить до зневоднення та електролітних порушень. Лікування діареї (адекватна гідратація та протидіарейні лікарські засоби, наприклад лоперамід) слід проводити при появі перших її ознак. У разі розвитку діареї може бути потрібне зменшення дози або переривання лікування. Лікування препаратом ОФЕВ можна відновити у зниженій дозі (100 мг двічі на добу) або повній дозі (150 мг двічі на добу). У разі продовження тяжкої діареї, незважаючи на симптоматичне лікування, терапію препаратом ОФЕВ слід відмінити.
Нудота та блювання
Нудота і блювання були небажаними явищами з боку шлунково-кишкового тракту, про які часто повідомлялося (див. розділ «Побічні реакції»). У більшості пацієнтів відзначалися нудота та блювання легкого або помірного ступеня тяжкості. У дослідженні частота нудоти та блювання, що обумовили припинення терапії лікарським засобом ОФЕВ, становила 2,1 % та 1,4 % відповідно.
Якщо симптоми не зникають, незважаючи на належну симптоматичну терапію (включаючи застосування протиблювотних засобів), може бути потрібне зменшення дози препарату або призупинення лікування. Лікування можна відновити у зниженій дозі (100 мг двічі на добу) або повній дозі (150 мг двічі на добу). Якщо тяжкі симптоми не зникають, терапію препаратом ОФЕВ слід відмінити.
Порушення функції печінки
У пацієнтів з порушеннями функції печінки помірного (клас B за шкалою Чайлда ─ П’ю) і тяжкого (клас C за шкалою Чайлда ─ П’ю) ступеня безпечність та ефективність застосування препарату ОФЕВ не вивчалися. Тому лікування таких пацієнтів препаратом ОФЕВ не рекомендується (див. розділи «Спосіб застосування та дози»). З огляду на посилену дію лікарського засобу ризик небажаних реакцій може збільшуватися у пацієнтів із порушеннями функції печінки легкого ступеня (клас А за шкалою Чайлда ─ П’ю). Для пацієнтів із порушеннями функції печінки легкого ступеня (клас А за шкалою Чайлда ─ П’ю) необхідно призначати лікування зменшеною дозою препарату ОФЕВ (див. розділи «Спосіб застосування та дози» та «Фармакологічні властивості. Фармакокінетика»)
При лікуванні нінтеданібом спостерігалися випадки ураження печінки, індукованого препаратом, включаючи тяжке ураження печінки з летальним наслідком. Більшість явищ з боку печінки виникає протягом перших трьох місяців лікування. Тому рівні печінкових трансаміназ та білірубіну слід вимірювати перед початком лікування та протягом першого місяця лікування препаратом ОФЕВ. Після цього необхідно регулярно перевіряти ці показники протягом наступних двох місяців лікування та періодично після цього, наприклад під час кожного візиту пацієнта або за клінічними показаннями.
В більшості випадків після зменшення дози або переривання лікування підвищення рівнів печінкових ферментів [АЛТ, АСТ, лужної фосфатази, гамма-глютамілтрансферази (ГГТ) див. розділ «Побічні реакції»] та білірубіну було оборотним.
У разі підвищення рівня трансаміназ (АСТ або АЛТ) більш ніж у 3 рази вище за верхню межу норми рекомендовано зменшити дозу або перервати терапію препаратом ОФЕВ і проводити пильне спостереження за станом пацієнта. Як тільки показники трансаміназ повернуться до початкового рівня, лікування препаратом ОФЕВ можна відновити в повній дозі (150 мг двічі на добу) або в зниженій дозі (100 мг двічі на добу), яка згодом може бути підвищена до повної дози (див розділ «Спосіб застосування та дози»). Якщо підвищення будь-яких показників функції печінки пов’язане з клінічними симптомами ураження печінки, наприклад із жовтяницею, лікування препаратом ОФЕВ слід остаточно припинити. Потрібно досліджувати альтернативні причини підвищення рівнів печінкових ферментів.
Пацієнти з низькою масою тіла (до 65 кг), азіатського походження та жіночої статі знаходяться в групі збільшеного ризику підвищення печінкових ферментів. Експозиція нінтеданібу лінійно зростала з віком пацієнта, що також збільшує ризик підвищення рівнів печінкових ферментів (див. розділ «Фармакологічні властивості. Фармакокінетика»). За станом пацієнтів з такими факторами ризику рекомендується ретельне спостереження.
Функція нирок
При лікуванні нінтеданібом спостерігалися випадки порушення функції нирок/ниркової недостатності, деякі з них були летальними (див. розділ «Побічні реакції»).
Під час терапії нінтеданібом рекомендовано контролювати стан пацієнтів, особливо пацієнтів з факторами ризику розвитку порушення функції нирок/ниркової недостатності. При порушенні функції нирок/ нирковій недостатності слід розглянути необхідність корекції дози (див. розділ «Спосіб застосування та дози. Коригування дози»).
Кровотечі
Пригнічення рецептора судинного ендотеліального фактора росту (VEGFR) може бути пов’язано із підвищеним ризиком кровотечі.
У клінічні дослідження не включали пацієнтів з відомим ризиком розвитку кровотеч, у т. ч. пацієнтів зі спадковою схильністю до кровотеч або пацієнтів, які одержували антикоагулянтну терапію у високих дозах. Протягом післяреєстраційного періоду повідомляли про легкі та тяжкі кровотечі, деякі з яких були летальними (включаючи такі як у пацієнтів, які одержували антикоагулянтну терапію або інші лікарські засоби, що могли спричинити кровотечу, так і у пацієнтів без антикоагулянтної терапії). Отже, цій категорії пацієнтів лікування препаратом ОФЕВ можна призначати тільки тоді, коли очікувана користь терапії перевищує потенційний ризик.
Артеріальна тромбоемболія
У клінічних дослідженнях не брали участь пацієнти з інфарктом міокарда або інсультом в найближчому анамнезі. У дослідженнях випадки розвитку артеріальної тромбоемболії спостерігалися рідко (2,5 % у групі препарату ОФЕВ порівняно з 0,7 % у групі плацебо у дослідженні INPULSIS; 0,9 % у групі препарату ОФЕВ порівняно з 0,9 % у групі плацебо у дослідженні INBUILD; 0,7 % у групі препарату ОФЕВ порівняно з 0,7 % у групі плацебо у дослідженні SENSCIS). У дослідженнях INPULSIS у більшої частки пацієнтів виникав інфаркт міокарда у групі препарату ОФЕВ (1,6 %) порівняно з групою плацебо (0,5 %), тоді як небажані реакції, що відображають ішемічні захворювання серця, були порівнянні в групах препарату ОФЕВ і плацебо. У дослідженні INBUILD інфаркт міокарда спостерігався з низькою частотою: 0,9 % у групі препарату ОФЕВ порівняно з 0,9 % у групі плацебо. У дослідженні SENSCIS випадки розвитку артеріальної тромбоемболії зустрічалися рідко: у 0,7 % пацієнтів, що отримували плацебо, і 0,7 % пацієнтів у групі, що отримувала ОФЕВ. Інфаркт міокарда спостерігався з низькою частотою у групі плацебо (0,7 %) і не спостерігався у групі ОФЕВ. Необхідно дотримуватися обережності при лікуванні пацієнтів з високим серцево-судинним ризиком, включаючи відоме захворювання коронарних артерій. Слід розглянути можливість перерви в лікуванні пацієнтів, у яких розвинулися симптоми гострої ішемії міокарда.
Аневризми та розшарування артерій
Застосування інгібіторів фактора росту ендотелію судин (VEGF) у пацієнтів з гіпертонією або без гіпертонії може спричинити утворення аневризми та/або розшарування артерій. Перед початком застосування лікарського засобу ОФЕВ ризик необхідно ретельно зважити у пацієнтів з такими факторами ризику, як гіпертонія або аневризма в анамнезі.
Венозна тромбоемболія
У клінічних дослідженнях не спостерігалося підвищеного ризику розвитку венозних тромбоемболічних ускладнень у пацієнтів, які приймали нінтеданіб. Проте у зв’язку з особливостями механізму дії нінтеданібу можливий підвищений ризик розвитку тромбоемболічних явищ.
Перфорації шлунково-кишкового тракту (ШКТ) та ішемічний коліт
У клінічних дослідженнях кількість пацієнтів з перфорацією була на рівні 0,3 % в обох групах лікування. Проте у зв’язку з особливостями механізму дії нінтеданібу у пацієнтів може підвищуватися ризик розвитку перфорацій ШКТ. Протягом післяреєстраційного періоду повідомляли про випадки перфорації шлунково-кишкового тракту та ішемічного коліту, деякі з них були летальними. Особливу увагу слід приділяти лікуванню пацієнтів, яким раніше проводили абдомінальні хірургічні втручання, які мають пептичну виразку і дивертикулярну хворобу в анамнезі або у разі супутнього застосування кортикостероїдів чи НПЗП. У зв’язку з цим ОФЕВ можна застосовувати лише як мінімум через 4 тижні після абдомінальних хірургічних втручань. У разі виникнення перфорації ШКТ або ішемічного коліту терапію препаратом ОФЕВ потрібно припиняти. У виняткових випадках препарат ОФЕВ можна застосовувати повторно після повного виліковування ішемічного коліту та ретельної оцінки стану пацієнта, а також інших факторів ризику.
Нефротична протеїнурія та тромботична мікроангіопатія
Протягом постмаркетингового періоду повідомляли про дуже рідкісні випадки нефротичної протеїнурії з порушенням функції нирок або без порушення функції нирок. Гістологічні дані в окремих випадках відповідали гломерулярній мікроангіопатії з тромбами в нирках або без них. Симптоми минали після припинення прийому препарату ОФЕВ, у деяких випадках – із залишковою протеїнурією. Слід розглянути доцільність припинення лікування пацієнтів з ознаками або симптомами нефротичного синдрому.
Застосування інгібіторів VEGF (фактор росту судинного ендотелію) було пов’язане з тромботичною мікроангіопатією, включаючи дуже малу кількість повідомлень про такі випадки при застосуванні нінтеданібу. Якщо лабораторні або клінічні дані пов’язані з тромботичною мікроангіопатією у пацієнтів, які отримують нінтеданіб, лікування нінтеданібом слід припинити та провести ретельну оцінку тромботичної мікроангіопатії.
Артеріальна гіпертензія
Прийом препарату ОФЕВ може підвищувати артеріальний тиск, тому слід періодично та за клінічними показниками вимірювати артеріальний тиск.
Легенева гіпертензія
Дані щодо застосування препарату ОФЕВ пацієнтам з легеневою гіпертензією обмежені.
Пацієнти зі значною легеневою гіпертензією (серцевий показник ≤ 2 л/хв/м², парентеральний епопростенол/трепростиніл або значна недостатність правого шлуночка серця) були виключені з дослідження INBUILD та SENSCIS. Рекомендується ретельне спостереження за станом пацієнтів з легеневою гіпертензією.
Порушення загоєння ран
У клінічних дослідженнях збільшення частоти порушень загоєння ран не спостерігалося. З огляду на механізм дії нінтеданібу ця речовина може негативно впливати на загоєння ран. Спеціальних досліджень впливу нінтеданібу на загоєння ран не проводилося. Тому лікування препаратом ОФЕВ має починатися або поновлюватися (якщо здійснювалася перерва у зв’язку з хірургічним втручанням) з урахуванням клінічної думки про адекватність загоєння рани.
Лікування пацієнтів із дуже рідкісними прогресуючими ІЗЛ
Дослідження INBUILD не мало відповідного дизайну або потужності для надання свідчень про користь нінтеданібу у підгрупах з діагнозом ІЗЛ. Послідовний вплив було продемонстровано в підгрупах на основі діагнозів ІЗЛ (див. розділ «Фармакодинаміка»). Досвід застосування нінтеданібу при дуже рідкісних прогресуючих фіброзуючих ІЗЛ обмежений. Клінічні критерії прогресування, що використовувались у дослідженні INBUILD, описано в розділі «Фармакодинаміка».
Одночасна терапія з пірфенідоном
У спеціальному фармакокінетичному дослідженні вивчали супутнє лікування нінтеданібом та пірфенідоном у пацієнтів з ІЛФ (ідіопатичним легеневим фіброзом). Це дослідження не виявило жодних доказів значущої фармакокінетичної лікарської взаємодії між нінтеданібом та пірфенідоном при їх застосуванні в комбінації (див. розділ «Фармакологічні властивості. Фармакокінетика»). Зважаючи на подібність профілів безпеки обох лікарських засобів, можна очікувати виникнення адитивних небажених реакцій, включно з явищами з боку шлунково-кишкового тракту та печінки. Співвідношення користь/ризик супутнього лікування пірфенідоном не встановлено.
Вплив на інтервал QT
Жодних ознак подовження інтервалу QT при застосуванні нінтеданібу в рамках програми клінічних досліджень не виявлено (див. розділ «Фармакологічні властивості. Фармакодинаміка»). Оскільки відомо, що деякі інші інгібітори тирозинкінази впливають на QT, слід з обережністю призначати нінтеданіб пацієнтам, які знаходяться в групі ризику подовження інтервалу QT.
Алергічні реакції
Відомо, що продукти лікувального харчування з вмістом сої спричиняють алергічні реакції, у тому числі тяжкий анафілактичний шок, в осіб із алергією на сою. Пацієнти з відомою алергією на арахісовий білок знаходяться в групі ризику розвитку тяжких реакцій на препарати із вмістом сої. 1 капсула по 100 мг містить лецитину соєвого 1,2 мг; 1 капсула по 150 мг містить лецитину соєвого 1,8 мг.
Застосування у період вагітності або годування груддю.
Жінки репродуктивного віку
Нінтеданіб може негативно впливати на плід людини. Жінкам репродуктивного віку під час лікування препаратом ОФЕВ слід вживати запобіжних заходів для уникнення вагітності та використовувати надійні методи контрацепції під час застосування препарату, на початку застосування препарату і протягом щонайменше 3 місяців після прийому останньої дози препарату ОФЕВ. Нінтеданіб суттєво не впливає на рівень етинілестрадіолу та левоноргестрелу в плазмі (див. розділ «Фармакологічні властивості. Фармакокінетика»). Ефективність пероральних гормональних контрацептивів може зменшуватись у разі блювання та/або діареї чи інших станів, при яких можливий вплив на абсорбцію. Жінкам, які приймають пероральні гормональні контрацептиви та мають такі стани, слід порадити використовувати альтернативні високоефективні засоби контрацепції.
Вагітність
Спеціальних досліджень щодо застосування препарату ОФЕВ вагітним жінкам не проводилося, проте в доклінічних дослідженнях у тварин встановлена репродуктивна токсичність цієї активної речовини. Оскільки нінтеданіб може мати ембріотоксичну дію у людини, його не слід застосовувати під час вагітності (див. розділ «Протипоказання»), тест на вагітність необхідно зробити до початку терапії лікарським засобом ОФЕВ та під час лікування відповідно.
Пацієнткам слід негайно повідомити лікаря про настання вагітності під час терапії препаратом ОФЕВ.
Якщо під час терапії препаратом ОФЕВ розвивається вагітність, лікування слід припинити та проінформувати пацієнтку про потенційну небезпеку ембріотоксичної дії препарату.
Годування груддю
Відсутні дані про виділення нінтеданібу і його метаболітів в грудне молоко людини. У доклінічних дослідженнях показано, що у тварин в період лактації в грудне молоко проникає невелика кількість нінтеданібу та його метаболітів (≤ 0,5 % від величини дози, що застосовувалася). Тому не можна виключити ризик для новонароджених і грудних дітей. Під час лікування препаратом ОФЕВ годування груддю слід припинити.
Фертильність
У доклінічних дослідженнях ознак порушень фертильності у самців виявлено не було. У дослідженнях підгострої та хронічної токсичності, під час яких рівень системної дії препарату був порівнянний з рівнем, що досягається при застосуванні максимальної рекомендованої дози у людини (150 мг двічі на добу), ознак порушень фертильності у самок тварин виявлено не було.
Здатність впливати на швидкість реакції при керуванні автотранспортом або іншими механізмами.
ОФЕВ має незначний вплив на здатність керувати транспортним засобом або іншими механізмами. Під час застосування препарату ОФЕВ пацієнтам потрібно рекомендувати дотримуватися обережності при управлінні транспортними засобами або іншими механізмами.
Спосіб застосування та дози.
Лікування препаратом має розпочинати лікар з досвідом ведення пацієнтів із захворюваннями, для яких затверджено застосування лікарського засобу ОФЕВ.
Дози
Рекомендована доза препарату становить 150 мг двічі на добу приблизно через кожні 12 годин. Доза 100 мг двічі на добу рекомендується лише тим пацієнтам, які погано переносять дозу 150 мг двічі на добу.
Якщо будь-яка доза препарату була пропущена, то слід продовжити прийом препарату в початково рекомендованій дозі за розкладом наступного прийому препарату. Якщо доза була пропущена, пацієнт не повинен приймати додаткову дозу препарату. Максимальна добова доза становить 300 мг.
Коригування дози
При розвитку небажаних реакцій на препарат ОФЕВ (див. розділи «Особливості застосування», «Побічні реакції») на додаток до симптоматичної терапії у разі необхідності рекомендується зниження дози або тимчасове переривання лікування доти, доки небажана реакція не знизиться до рівня, який дасть змогу відновити терапію. Лікування препаратом ОФЕВ може бути відновлене в повній дозі (150 мг двічі на добу) або в зниженій дозі (100 мг двічі на добу). Якщо пацієнт не переносить дозу препарату 100 мг двічі на добу, лікування препаратом ОФЕВ слід припинити.
Якщо діарея, нудота та/або блювання не минають, незважаючи на відповідну підтримуючу терапію (включаючи протиблювотну терапію), може бути потрібне зменшення дози або припинення лікування. Лікування препаратом ОФЕВ можна відновити у зниженій дозі (100 мг двічі на добу) або повній дозі (150 мг двічі на добу). У разі продовження тяжкої діареї, незважаючи на симптоматичне лікування, терапію препаратом ОФЕВ слід відмінити (див. розділ «Особливості застосування»).
У разі підвищення рівня аспартатамінотрансферази (АСТ) або аланінамінотрансферази (АЛТ) більш ніж в 3 рази вище за верхню межу норми рекомендовано перервати терапію препаратом ОФЕВ. Як тільки показники повернуться до нормального значення, лікування препаратом ОФЕВ можна відновити в зниженій дозі (100 мг двічі на добу), яка згодом може бути збільшена до повної дози (150 мг двічі на добу) (див. розділи «Особливості застосування», «Побічні реакції»).
Особливі групи пацієнтів
Пацієнти літнього віку (˃ 65 років)
Не відзначено жодних загальних відмінностей з точки зору безпеки та ефективності застосування препарату літнім пацієнтам. Коригування дози препарату залежно від віку пацієнта не потрібне. Пацієнтам віком від 75 років може бути потрібне зниження дози для мінімізації небажаних явищ (див. розділ «Фармакологічні властивості. Фармакокінетика»).
Порушення функції нирок
Пацієнтам з порушеннями функції нирок легкого або помірного ступеня тяжкості коригувати початкову дозу не потрібно. У пацієнтів з тяжкими порушеннями функції нирок (кліренс креатиніну < 30 мл/хв) безпека, ефективність та фармакокінетика нінтеданібу не вивчалися.
Порушення функції печінки
Для пацієнтів з порушеннями функції печінки легкого ступеня тяжкості (клас А за шкалою Чайлда – П’ю) рекомендована доза препарату ОФЕВ становить 100 мг двічі на день приблизно із 12 годинним інтервалом. Для таких пацієнтів необхідно передбачити переривання або припинення лікування для контролю за небажаними реакціями. У пацієнтів з порушеннями функції печінки класів B і C за шкалою Чайлда – П’ю безпека та ефективність нінтеданібу не вивчалися. Тому лікування пацієнтів з порушеннями функції печінки помірного (клас B за шкалою Чайлда – П’ю) і тяжкого (клас C за шкалою Чайлда – П’ю) ступеня препаратом ОФЕВ не рекомендується (див. розділ «Фармакологічні властивості. Фармакокінетика»).
Дитячий вік
Безпечність та ефективність застосування препарату ОФЕВ дітям (віком до 18 років) не вивчалися. Дані відсутні.
Спосіб застосування
ОФЕВ призначений для перорального застосування. Капсули слід приймати з їжею, ковтати цілими, запиваючи водою; їх не потрібно розжовувати. Не відкривати та не подрібнювати капсулу. У разі контакту з вмістом капсули негайно промийте руки великою кількістю води.
Діти.
Препарат не застосовують у педіатричній практиці.
Передозування.
Симптоми
Зафіксовані випадки передозування у двох пацієнтів, які брали участь в онкологічній програмі, при застосуванні препарату в максимальній дозі 600 мг впродовж восьми днів. Небажані явища, що спостерігалися, були порівнянні з відомим профілем безпеки нінтеданібу: збільшення активності ферментів печінки і порушення з боку ШКТ. Обидва пацієнти повністю відновилися після небажаних явищ. У дослідженнях INPULSIS був зафіксований один випадок ненавмисного підвищення дози пацієнтом до 600 мг на добу упродовж 21 дня. За період неправильного прийому препарату було зафіксовано розвиток небажаного явища (назофарингіт) легкого ступеня, яке пройшло в цей періоді без фіксування будь-яких інших небажаних реакцій.
Лікування
Специфічного антидоту немає. У разі передозування необхідно відмінити препарат і проводити симптоматичну терапію.
Побічні реакції.
У клінічних дослідженнях та постмаркетинговий період найчастішими побічними реакціями, пов’язаними із застосуванням нінтеданібу, були діарея, нудота і блювання, біль у ділянці живота, зниження апетиту, зниження маси тіла і підвищення рівня ферментів печінки.
Для одержання інформації стосовно лікування деяких небажаних явищ див. розділ «Особливості застосування».
У таблиці 11 наведено побічні реакції відповідно до класів систем органів за MedDRA та за частоти виникнення з використанням таких критеріїв оцінки:
дуже часті (> 1/10); часті (> 1/100 до < 1/10); нечасті (> 1/1 000 до < 1/100); поодинокі (> 1/10 000 до < 1/1 000); рідкісні (< 1/10 000), невідомо (неможливо встановити за наявними даними).
Таблиця 11
|
Частота |
|||
|
Клас системи органів |
Ідіопатичний легеневий фіброз (ІЛФ) |
Інтерстиціальне захворювання легень при системній склеродермії (системному склерозі) (ІЗЛ-СС). |
Інші хронічні фіброзуючі інтерстиціальні захворювання легень (ІЗЛ) з прогресуючим фенотипом |
|
Порушення з боку кровоносної та лімфатичної системи |
|||
|
Тромбоцитопенія |
Нечасті |
Нечасті |
Нечасті |
|
Метаболічні порушення і порушення харчування |
|||
|
Зниження маси тіла |
Часті |
Часті |
Часті |
|
Зниження апетиту |
Часті |
Часті |
Дуже часті |
|
Дегідратація |
Нечасті |
Невідомо |
Нечасті |
|
Порушення з боку серця |
|||
|
Інфаркт міокарда |
Нечасті |
Невідомо |
Нечасті |
|
Порушення з боку судин |
|||
|
Кровотечі (див. розділ «Особливості застосування») |
Часті |
Часті |
Часті |
|
Гіпертензія |
Нечасті |
Часті |
Часті |
|
Аневризми та розшарування артерій |
Невідомо |
Невідомо |
Невідомо |
|
Порушення з боку травної системи |
|||
|
Діарея |
Дуже часті |
Дуже часті |
Дуже часті |
|
Нудота |
Дуже часті |
Дуже часті |
Дуже часті |
|
Біль в ділянці живота |
Дуже часті |
Дуже часті |
Дуже часті |
|
Блювання |
Часті |
Дуже часті |
Дуже часті |
|
Панкреатит |
Нечасті |
Невідомо |
Нечасті |
|
Коліт |
Нечасті |
Нечасті |
Нечасті |
|
Порушення з боку печінки та жовчовивідних шляхів |
|||
|
Ураження печінки, спричинене препаратом |
Нечасті |
Нечасті |
Часті |
|
Підвищення рівня ферментів печінки |
Дуже часті |
Дуже часті |
Дуже часті |
|
Підвищення рівня аланін-амінотрансферази (АЛТ) |
Часті |
Часті |
Дуже часті |
|
Підвищення рівня аспартат-амінотрансферази (АСТ) |
Часті |
Часті |
Часті |
|
Підвищення рівня гамма-глутамілтрансферази (ГГТ) |
Часті |
Часті |
Часті |
|
Гіпербілірубінемія |
Нечасті |
Невідомо |
Нечасті |
|
Підвищення рівня лужної фосфатази крові (ЛФК) |
Нечасті |
Часті |
Часті |
|
Порушення з боку шкіри та підшкірної клітковини |
|||
|
Висип |
Часті |
Нечасті |
Часті |
|
Свербіж |
Нечасті |
Нечасті |
Нечасті |
|
Алопеція |
Нечасті |
Невідомо |
Нечасті |
|
Порушення з боку нирок та сечовивідних шляхів |
|||
|
Ниркова недостатність (див. розділ «Особливості застосування») |
Невідомо |
Нечасті |
Невідомо |
|
Протеїнурія |
Нечасті |
Невідомо |
Нечасті |
|
Порушення з боку нервової системи |
|||
|
Головний біль |
Часті |
Часті |
Часті |
Опис окремих побічних реакцій
Діарея
У клінічних випробуваннях (див. розділ «Фармакологічні властивості. Фармакодинаміка») діарея була найбільш частим побічним явищем з боку шлунково-кишкового тракту. У більшості пацієнтів небажані явища були легкого і помірного ступеня тяжкості. У більше ніж двох третин пацієнтів діарея відзначалася упродовж перших 3 місяців лікування.
У більшості пацієнтів небажені явища вдалося подолати шляхом застосування протидіарейної терапії, зниження дози або припинення лікування (див. розділ «Особливості застосування»). Огляд випадків діареї у клінічних випробуваннях представлено у таблиці 12.
Таблиця 12
Випадки діареї у клінічних випробуваннях протягом 52 тижнів
|
Дослідження |
INPULSIS |
INBULD |
SENSCIS |
|||
|
Лікування |
Плацебо |
ОФЕВ |
Плацебо |
ОФЕВ |
Плацебо |
ОФЕВ |
|
Діарея |
18,4 % |
62,4 % |
23,9 % |
66,9 % |
31,6 % |
75,7 % |
|
Тяжка діарея |
0,5 % |
3,3 % |
0,9 % |
2,4 % |
1,0 % |
4,2 % |
|
Діарея, що обумовила зниження дози препарату ОФЕВ |
0 % |
10,7 % |
0,9 % |
16,0 % |
1,0 % |
22,2 % |
|
Діарея, що обумовила припинення лікування препаратом ОФЕВ |
0,2 % |
4,4 % |
0,3 % |
5,7 % |
0,3 % |
6,9 % |
Підвищення рівнів ферментів печінки
У дослідженнях INPULSIS підвищення рівнів ферментів печінки (див. розділ «Особливості застосування») було зафіксовано у 13,6 % пацієнтів, які одержували терапію лікарським засобом ОФЕВ в порівнянні з 2,6 % пацієнтів, які отримували плацебо. У дослідженні INBUILD підвищення рівня печінкових ферментів відзначалось у 22,6% порівняно з 5,7 % пацієнтів, які отримували ОФЕВ та плацебо відповідно. У дослідженні SENSCIS підвищення рівнів ферментів печінки спостерігалось у 13,2 % пацієнтів, які отримували ОФЕВ в порівнянні з 3,1 % пацієнтів, які отримували плацебо. Підвищення рівнів ферментів печінки було оборотним і не пов’язаним із клінічно вираженим захворюванням печінки. Додаткова інформація стосовно особливих категорій пацієнтів, рекомендованих заходів та коригування доз у разі діареї та підвищення рівнів ферментів печінки наведена у розділах «Особливості застосування» та «Спосіб застосування та дози».
Кровотечі
У клінічних дослідженнях частка пацієнтів, у яких спостерігалися кровотечі, була дещо вищою у групі препарату ОФЕВ або порівнянною у групах лікування (10,3 % у групі препарату ОФЕВ порівняно з 7,8 % у групі плацебо у дослідженні INPULSIS; 11,1 % у групі ОФЕВ порівняно з 12,7 % у групі плацебо у дослідженні INBUILD; 11,1% у групі ОФЕВ порівняно з 8,3 % у групі плацебо у дослідженні SENSCIS). Легкі носові кровотечі були найбільш частими серед випадків кровотеч як небажаних явищ. Випадки серйозних кровотеч відзначалися рідко в обох групах (1,3 % у групі препарату ОФЕВ порівняно з 1,4 % у групі плацебо у дослідженні INPULSIS; 0,9% у групі препарату ОФЕВ порівняно з 1,5% у групі плацебо у дослідженні INBUILD; 1,4 % у групі препарату ОФЕВ порівняно 0,7 % у групі плацебо у дослідженні SENSCIS).
Випадки кровотеч протягом післяреєстраційного періоду пов’язані з кровотечами з боку органів травної, дихальної і центральної нервової систем, але не обмежуються лише ними. Найбільша частота кровотеч пов’язана із травною системою (див. розділ «Особливості застосування»).
Протеїнурія
У клінічних дослідженнях частота пацієнтів з протеїнурією була низькою та порівнянною у групах лікування (0,8 % у групі препарату ОФЕВ порівняно з 0,5 % у групі плацебо у дослідженні INPULSIS; 1,5 % у групі препарату ОФЕВ порівняно з 1,8 % у групі плацебо у дослідженні INBUILD; 1,0 % у групі препарату ОФЕВ порівняно з 0,0 % у групі плацебо у дослідженні SENSCIS). У ході клінічних досліджень не повідомлялося про нефротичний синдром.
Протягом постмаркетингового періоду повідомляли про дуже рідкісні випадки нефротичної протеїнурії з порушенням функції нирок або без порушення функції нирок. Гістологічні дані в окремих випадках відповідали гломерулярній мікроангіопатії з нирковими тромбами або без них. Зникнення симптомів спостерігалось після припинення прийому препарату ОФЕВ, у деяких випадках із залишковою протеїнурією. Слід розглянути можливість переривання лікування у пацієнтів, у яких розвиваються ознаки або симптоми нефротичного синдрому (див. розділ «Особливості застосування»).
Повідомлення про побічні реакції
Повідомлення про побічні реакції після реєстрації лікарського препарату є важливими. Це дає змогу постійно вести моніторинг співвідношення користь/ризик застосування лікарського засобу. Просимо медичних працівників повідомляти про будь-які можливі побічні реакції за допомогою національної системи звітності.
Термін придатності. 3 роки.
Умови зберігання.
Зберігати при температурі не вище 25 °C в оригінальній упаковці для захисту від вологи.
Зберігати у недоступному для дітей місці.
Упаковка.
По 10 капсул в блістері з алюмінієвої фольги з перфорацією, по 6 блістерів в картонній упаковці.
Категорія відпуску.
За рецептом.
Виробник.
Берінгер Інгельхайм Фарма ГмбХ і Ко. КГ/Boehringer Ingelheim Pharma GmbH & Co. KG.
Місцезнаходження виробника та адреса місця провадження його діяльності.
Бінгер Штрассе 173, 55216, Інгельхайм на Рейні, Німеччина
Binger Strasse 173, 55216, Ingelheim am Rhein, Germany.
Нінтеданіб: 150 мг/капсула
Популярні питання
Протипоказано. Детальніше необхідно проконсультуватися з вашим лікарем.
Країна виробник у Офев капсули по 150 мг №60 (6 блістерів х 10 капсул) - Німеччина.
Основною діючою речовиною у Офев капсули по 150 мг №60 (6 блістерів х 10 капсул) є Нінтеданіб.